• 文献检索
  • 文档翻译
  • 深度研究
  • 学术资讯
  • Suppr Zotero 插件Zotero 插件
  • 邀请有礼
  • 套餐&价格
  • 历史记录
应用&插件
Suppr Zotero 插件Zotero 插件浏览器插件Mac 客户端Windows 客户端微信小程序
定价
高级版会员购买积分包购买API积分包
服务
文献检索文档翻译深度研究API 文档MCP 服务
关于我们
关于 Suppr公司介绍联系我们用户协议隐私条款
关注我们

Suppr 超能文献

核心技术专利:CN118964589B侵权必究
粤ICP备2023148730 号-1Suppr @ 2026

文献检索

告别复杂PubMed语法,用中文像聊天一样搜索,搜遍4000万医学文献。AI智能推荐,让科研检索更轻松。

立即免费搜索

文件翻译

保留排版,准确专业,支持PDF/Word/PPT等文件格式,支持 12+语言互译。

免费翻译文档

深度研究

AI帮你快速写综述,25分钟生成高质量综述,智能提取关键信息,辅助科研写作。

立即免费体验

孤独症谱系障碍中的解整合素金属蛋白酶8(ADAM 8):与神经炎症的联系

A Disintegrin and Metalloproteinase Protein 8 (ADAM 8) in Autism Spectrum Disorder: Links to Neuroinflammation.

作者信息

Al-Ayadhi Laila, Abualnaja Amani, AlZarroug Abdullah, Alharbi Turki, Alhowikan Abdulrahman M, Halepoto Dost M, Al-Mazidi Sarah

机构信息

Autism Research and Treatment Centre, Faculty of Medicine, King Saud University, Riyadh, 11461, Saudi Arabia.

Department of Physiology, Faculty of Medicine, King Saud University, Riyadh, 11461, Saudi Arabia.

出版信息

Neuropsychiatr Dis Treat. 2023 Aug 14;19:1771-1780. doi: 10.2147/NDT.S408554. eCollection 2023.

DOI:10.2147/NDT.S408554
PMID:37601825
原文链接:https://pmc.ncbi.nlm.nih.gov/articles/PMC10438429/
Abstract

BACKGROUND

Converging lines of evidence confirmed neuroinflammation's role in autism spectrum disorder (ASD) etiological pathway. A disintegrin and metalloproteinase 8 (ADAM8) play major roles in inflammatory and allergic processes in various diseases.

AIM

This study aimed to investigate ADAM8 plasma levels in autistic children compared to healthy controls. Also, to discover the association between ADAM8, disease severity, and neuroinflammation in ASD.

METHODOLOGY

This case-control study included children with ASD (n=40) and aged-matched healthy controls (n=40). The plasma levels of the ADAM 8 were determined using enzyme-linked immunosorbent assay (ELISA). The assessment of ASD severity and social and sensory behaviors were categorized as mild, moderate and severe. Correlations among ADAM8 plasma levels and ASD severity scores [Childhood Autism Rating Scale (CARS), Social Responsiveness Scale (SRS) and Short Sensory Profile (SSP)] were obtained by Spearman correlation coefficient (r).

RESULTS

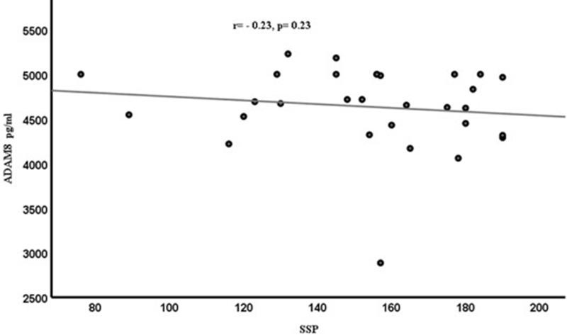
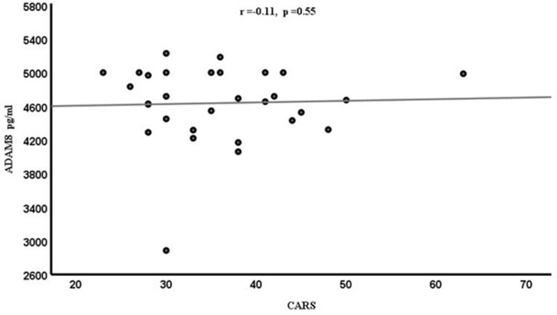
ASD children (n=40), including severe autism (n=21) and mild-to-moderate autism (n=19), showed significantly (p ≤ 0.05) lower plasma levels of ADAM8 [4683 (2885-5229); 4663 (4060-5000); 4632 (2885-5229)], respectively, than those of healthy controls [5000 (4047-5000)] [median (IQR) pg/mL]. However, there was no significant difference between the ADAM8 levels of children with severe and mild-to-moderate autism (p = 0.71). Moreover, ADAM8 plasma levels were not significantly correlated with the severity of ASD measured by behavioral scales [CARS (r= -0.11, p=0.55), SRS (r=0.11, p= 0.95), SSP (r=-0.23, p=0.23)].

CONCLUSION

The low ADAM8 plasma levels in children with ASD possibly indicated that ADAM8 might be implicated in the pathogenesis of ASD but not in the severity of the disease. These results should be interpreted with caution until additional studies are carried out with larger populations to decide whether the reduction in plasma ADAM8 levels is a mere consequence of ASD or if it plays a pathogenic role in the disease.

摘要

背景

越来越多的证据证实神经炎症在自闭症谱系障碍(ASD)病因学途径中发挥作用。解整合素和金属蛋白酶8(ADAM8)在多种疾病的炎症和过敏过程中起主要作用。

目的

本研究旨在调查自闭症儿童与健康对照相比的ADAM8血浆水平。此外,探索ADAM8、疾病严重程度和ASD中神经炎症之间的关联。

方法

本病例对照研究纳入了ASD儿童(n = 40)和年龄匹配的健康对照(n = 40)。使用酶联免疫吸附测定(ELISA)测定ADAM 8的血浆水平。将ASD严重程度以及社交和感觉行为的评估分为轻度、中度和重度。通过Spearman相关系数(r)获得ADAM8血浆水平与ASD严重程度评分[儿童自闭症评定量表(CARS)、社会反应量表(SRS)和简短感觉概况(SSP)]之间的相关性。

结果

ASD儿童(n = 40),包括重度自闭症(n = 21)和轻度至中度自闭症(n = 19),其ADAM8血浆水平[4683(2885 - 5229);4663(4060 - 5000);4632(2885 - 5229)]分别显著低于健康对照[5000(4047 - 5000)][中位数(IQR)pg/mL](p≤0.05)。然而,重度和轻度至中度自闭症儿童的ADAM8水平之间没有显著差异(p = 0.71)。此外,ADAM8血浆水平与行为量表测量的ASD严重程度[CARS(r = -0.11,p = 0.55),SRS(r = 0.11,p = 0.95),SSP(r = -0.23,p = 0.23)]无显著相关性。

结论

ASD儿童中ADAM8血浆水平较低可能表明ADAM8可能与ASD的发病机制有关,但与疾病严重程度无关。在进行更多大规模研究以确定血浆ADAM8水平降低仅仅是ASD的结果还是在疾病中起致病作用之前,应谨慎解释这些结果。

https://cdn.ncbi.nlm.nih.gov/pmc/blobs/8570/10438429/65ab4d0649d0/NDT-19-1771-g0004.jpg
https://cdn.ncbi.nlm.nih.gov/pmc/blobs/8570/10438429/53cffa2f58a7/NDT-19-1771-g0001.jpg
https://cdn.ncbi.nlm.nih.gov/pmc/blobs/8570/10438429/f0fd80c3b391/NDT-19-1771-g0002.jpg
https://cdn.ncbi.nlm.nih.gov/pmc/blobs/8570/10438429/66ab4bfa35ab/NDT-19-1771-g0003.jpg
https://cdn.ncbi.nlm.nih.gov/pmc/blobs/8570/10438429/65ab4d0649d0/NDT-19-1771-g0004.jpg
https://cdn.ncbi.nlm.nih.gov/pmc/blobs/8570/10438429/53cffa2f58a7/NDT-19-1771-g0001.jpg
https://cdn.ncbi.nlm.nih.gov/pmc/blobs/8570/10438429/f0fd80c3b391/NDT-19-1771-g0002.jpg
https://cdn.ncbi.nlm.nih.gov/pmc/blobs/8570/10438429/66ab4bfa35ab/NDT-19-1771-g0003.jpg
https://cdn.ncbi.nlm.nih.gov/pmc/blobs/8570/10438429/65ab4d0649d0/NDT-19-1771-g0004.jpg

相似文献

1
A Disintegrin and Metalloproteinase Protein 8 (ADAM 8) in Autism Spectrum Disorder: Links to Neuroinflammation.孤独症谱系障碍中的解整合素金属蛋白酶8(ADAM 8):与神经炎症的联系
Neuropsychiatr Dis Treat. 2023 Aug 14;19:1771-1780. doi: 10.2147/NDT.S408554. eCollection 2023.
2
Secretagogin (SCGN) Plasma Levels and their Association with Cognitive and Social Behavior in Children with Autism Spectrum Disorder ASD).分泌促胃液素(SCGN)的血浆水平及其与自闭症谱系障碍(ASD)儿童认知和社会行为的关联。
J Coll Physicians Surg Pak. 2017 Apr;27(4):222-226.
3
Cluster of Differentiation 5 (CD5) Levels in the Plasma of Children with Autism Spectrum Disorder (ASD).自闭症谱系障碍(ASD)患儿血浆中的分化簇5(CD5)水平
J Coll Physicians Surg Pak. 2017 Mar;27(3):149-152.
4
The possible link between Fetuin-A Protein and Neuro-inflammation in Children with Autism Spectrum Disorder.胎球蛋白-A蛋白与自闭症谱系障碍儿童神经炎症之间的潜在联系。
Pak J Med Sci. 2021 Jul-Aug;37(4):1166-1171. doi: 10.12669/pjms.37.4.4032.
5
Impaired lipid metabolism markers to assess the risk of neuroinflammation in autism spectrum disorder.脂质代谢标志物受损评估自闭症谱系障碍神经炎症风险。
Metab Brain Dis. 2018 Aug;33(4):1141-1153. doi: 10.1007/s11011-018-0206-6. Epub 2018 Mar 22.
6
Impact of Auditory Integrative Training on Transforming Growth Factor-β1 and Its Effect on Behavioral and Social Emotions in Children with Autism Spectrum Disorder.听觉统合训练对转化生长因子-β1 的影响及其对自闭症谱系障碍儿童行为和社会情绪的影响。
Med Princ Pract. 2018;27(1):23-29. doi: 10.1159/000486572. Epub 2018 Jan 3.
7
Exploring the Potential Role of ADAM 17 and ADAM 22 in the Etiology of Autism Spectrum Disorders.探索ADAM 17和ADAM 22在自闭症谱系障碍病因学中的潜在作用。
Brain Sci. 2023 Jun 20;13(6):972. doi: 10.3390/brainsci13060972.
8
Relationship between absolute and relative ratios of glutamate, glutamine and GABA and severity of autism spectrum disorder.谷氨酸、谷氨酰胺和 GABA 的绝对和相对比值与自闭症谱系障碍严重程度的关系。
Metab Brain Dis. 2018 Jun;33(3):843-854. doi: 10.1007/s11011-018-0186-6. Epub 2018 Feb 3.
9
[Correlation between serum 25-hydroxyvitamin D level and core symptoms of autism spectrum disorder in children].[儿童血清25-羟维生素D水平与自闭症谱系障碍核心症状的相关性]
Zhonghua Er Ke Za Zhi. 2017 Dec 2;55(12):916-919. doi: 10.3760/cma.j.issn.0578-1310.2017.12.010.
10
Increase of cytosolic phospholipase A2 as hydrolytic enzyme of phospholipids and autism cognitive, social and sensory dysfunction severity.作为磷脂水解酶的胞质磷脂酶A2增加与自闭症认知、社交和感觉功能障碍严重程度的关系。
Lipids Health Dis. 2017 Jun 15;16(1):117. doi: 10.1186/s12944-016-0391-4.

引用本文的文献

1
Blockade of the ADAM8-Fra-1 complex attenuates neuroinflammation by suppressing the Map3k4/MAPKs axis after spinal cord injury.阻断 ADAM8-Fra-1 复合物通过抑制脊髓损伤后的 Map3k4/MAPKs 轴减轻神经炎症。
Cell Mol Biol Lett. 2024 May 16;29(1):75. doi: 10.1186/s11658-024-00589-3.

本文引用的文献

1
ADAM8 Activates NLRP3 Inflammasome to Promote Cerebral Ischemia-Reperfusion Injury.ADAM8 通过激活 NLRP3 炎性小体促进脑缺血再灌注损伤。
J Healthc Eng. 2021 Dec 16;2021:3097432. doi: 10.1155/2021/3097432. eCollection 2021.
2
The Gut-Brain Axis in Autism Spectrum Disorder: A Focus on the Metalloproteases ADAM10 and ADAM17.自闭症谱系障碍中的肠道-大脑轴:关注金属蛋白酶 ADAM10 和 ADAM17。
Int J Mol Sci. 2020 Dec 24;22(1):118. doi: 10.3390/ijms22010118.
3
Plasma Levels of Alpha and Gamma Synucleins in Autism Spectrum Disorder: An Indicator of Severity.
自闭症谱系障碍中 Alpha 和 Gamma 突触核蛋白的血浆水平:严重程度的指标。
Med Princ Pract. 2021;30(2):160-167. doi: 10.1159/000513935. Epub 2020 Dec 21.
4
Postmortem Studies of Neuroinflammation in Autism Spectrum Disorder: a Systematic Review.自闭症谱系障碍的神经炎症死后研究:系统评价。
Mol Neurobiol. 2020 Aug;57(8):3424-3438. doi: 10.1007/s12035-020-01976-5. Epub 2020 Jun 11.
5
A Disintegrin and Metalloproteinase 8 as a Potential Blood Biomarker for Early Diagnosis of Gastric Cancer.解整合素金属蛋白酶 8 作为一种潜在的胃癌早期诊断的血液生物标志物。
Yonsei Med J. 2019 Aug;60(8):713-719. doi: 10.3349/ymj.2019.60.8.713.
6
Functions of 'A disintegrin and metalloproteases (ADAMs)' in the mammalian nervous system.“解整合素金属蛋白酶(ADAMs)”在哺乳动物神经系统中的功能。
Cell Mol Life Sci. 2019 Aug;76(16):3055-3081. doi: 10.1007/s00018-019-03173-7. Epub 2019 Jun 24.
7
Determination of neuroinflammatory biomarkers in autistic and neurotypical Saudi children.测定自闭症和神经典型沙特儿童的神经炎症生物标志物。
Metab Brain Dis. 2019 Aug;34(4):1049-1060. doi: 10.1007/s11011-019-00420-5. Epub 2019 May 30.
8
The influence of neuroinflammation in Autism Spectrum Disorder.神经炎症对自闭症谱系障碍的影响。
Brain Behav Immun. 2019 Jul;79:75-90. doi: 10.1016/j.bbi.2019.04.037. Epub 2019 Apr 25.
9
NLRP3 inflammasome in ischemic stroke: As possible therapeutic target.NLRP3 炎性小体在缺血性脑卒中中的作用:可能的治疗靶点。
Int J Stroke. 2019 Aug;14(6):574-591. doi: 10.1177/1747493019841242. Epub 2019 Apr 2.
10
Autism spectrum disorder.自闭症谱系障碍。
Lancet. 2018 Aug 11;392(10146):508-520. doi: 10.1016/S0140-6736(18)31129-2. Epub 2018 Aug 2.