• 文献检索
  • 文档翻译
  • 深度研究
  • 学术资讯
  • Suppr Zotero 插件Zotero 插件
  • 邀请有礼
  • 套餐&价格
  • 历史记录
应用&插件
Suppr Zotero 插件Zotero 插件浏览器插件Mac 客户端Windows 客户端微信小程序
定价
高级版会员购买积分包购买API积分包
服务
文献检索文档翻译深度研究API 文档MCP 服务
关于我们
关于 Suppr公司介绍联系我们用户协议隐私条款
关注我们

Suppr 超能文献

核心技术专利:CN118964589B侵权必究
粤ICP备2023148730 号-1Suppr @ 2026

文献检索

告别复杂PubMed语法,用中文像聊天一样搜索,搜遍4000万医学文献。AI智能推荐,让科研检索更轻松。

立即免费搜索

文件翻译

保留排版,准确专业,支持PDF/Word/PPT等文件格式,支持 12+语言互译。

免费翻译文档

深度研究

AI帮你快速写综述,25分钟生成高质量综述,智能提取关键信息,辅助科研写作。

立即免费体验

用氢氧化钴纳米颗粒修饰聚苯乙烯作为从工业废水中去除铁(III)和亚甲基蓝的新型复合材料。

Decoration of polystyrene with nanoparticles of cobalt hydroxide as new composites for the removal of Fe(iii) and methylene blue from industrial wastewater.

作者信息

Adel Marzouk, El Naggar Ahmed M A, Bakry Ahmed, Hilal Maher H, El-Zahhar Adel A, Taha Mohamed H, Marey A

机构信息

Aluminum Sulphate Company of Egypt Egypt.

Egyptian Petroleum Research Institute (EPRI) Nasr City Cairo Egypt

出版信息

RSC Adv. 2023 Aug 23;13(36):25334-25349. doi: 10.1039/d3ra03794k. eCollection 2023 Aug 21.

DOI:10.1039/d3ra03794k
PMID:37622016
原文链接:https://pmc.ncbi.nlm.nih.gov/articles/PMC10445594/
Abstract

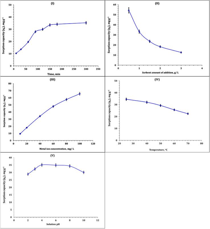
Effluent water from different industries is considered one of the most serious environmental pollutants due to its non-safe disposal. Therefore, proper treatment methods for such wastewater are strongly stimulated for its potential reuse in industries or agriculture. This study introduces a composite fabricated doping of polystyrene with nanoparticles of cobalt hydroxide as a novel adsorbent for dye and heavy metal decontamination from wastewater. The adsorbent fabrication involves the preparation of polystyrene high-internal phase emulation (HIPE) polymerization followed by its intercalation with particles of alkali cobalt. The chemical composition and structural properties of the synthesized composite were confirmed by X-ray diffraction (XRD), Fourier transform infrared (FTIR) spectroscopy, and energy-dispersive X-ray spectroscopy (EDX). Moreover, scanning electron microscopy (SEM) and N adsorption-desorption surface area analysis were performed to identify the surface and morphological characteristics of the composite. Then, the ability of this structure toward the removal of methylene blue dye (MB) and heavy metal (iron iii) species from waste aqueous solutions was investigated. Successful elimination for both MB and Fe(iii) was achieved by the presented composite. Elevated adsorption capacities of 75.2 and 112.3 mg g, toward MB and Fe(iii) respectively, were detected for the presented polymer-metal hydroxide composite. The increased values of the composite are attributed to the presence of both organic and inorganic functional groups within its structure. Kinetic and isotherm studies for the removal of both cationic species revealed that adsorption processes fit the pseudo-second-order kinetic model and Langmuir isotherm model. Additionally, thermodynamics measurements indicated that the adsorption process of methylene blue and Fe ions is feasible, spontaneous, physisorption, and endothermic.

摘要

由于不同行业的废水处置不安全,其被视为最严重的环境污染物之一。因此,强烈鼓励采用适当的处理方法来处理此类废水,以便其在工业或农业中实现潜在的再利用。本研究介绍了一种由聚苯乙烯与氢氧化钴纳米颗粒复合制成的新型吸附剂,用于去除废水中的染料和重金属。吸附剂的制备包括聚苯乙烯高内相乳液(HIPE)聚合的制备,随后将其与碱式钴颗粒进行插层。通过X射线衍射(XRD)、傅里叶变换红外(FTIR)光谱和能量色散X射线光谱(EDX)对合成复合材料的化学成分和结构性质进行了确认。此外,还进行了扫描电子显微镜(SEM)和N吸附-脱附表面积分析,以确定复合材料的表面和形态特征。然后,研究了该结构从废水溶液中去除亚甲基蓝染料(MB)和重金属(铁离子)的能力。所提出的复合材料成功地实现了对MB和Fe(iii)的去除。对于所提出的聚合物-金属氢氧化物复合材料,检测到对MB和Fe(iii)的吸附容量分别提高到75.2和112.3 mg/g。复合材料吸附容量增加的值归因于其结构中有机和无机官能团的存在。对两种阳离子物种去除的动力学和等温线研究表明,吸附过程符合准二级动力学模型和朗缪尔等温线模型。此外,热力学测量表明,亚甲基蓝和铁离子的吸附过程是可行的、自发的、物理吸附的且是吸热的。

https://cdn.ncbi.nlm.nih.gov/pmc/blobs/55c3/10445594/fcc575f13278/d3ra03794k-f14.jpg
https://cdn.ncbi.nlm.nih.gov/pmc/blobs/55c3/10445594/60debf88e0cc/d3ra03794k-f1.jpg
https://cdn.ncbi.nlm.nih.gov/pmc/blobs/55c3/10445594/d2928cea5cf1/d3ra03794k-f2.jpg
https://cdn.ncbi.nlm.nih.gov/pmc/blobs/55c3/10445594/2ff577b1a976/d3ra03794k-f3.jpg
https://cdn.ncbi.nlm.nih.gov/pmc/blobs/55c3/10445594/b89adb77d46b/d3ra03794k-f4.jpg
https://cdn.ncbi.nlm.nih.gov/pmc/blobs/55c3/10445594/cff770520b5a/d3ra03794k-f5.jpg
https://cdn.ncbi.nlm.nih.gov/pmc/blobs/55c3/10445594/28c44e95de6c/d3ra03794k-f6.jpg
https://cdn.ncbi.nlm.nih.gov/pmc/blobs/55c3/10445594/bf0f585ff406/d3ra03794k-f7.jpg
https://cdn.ncbi.nlm.nih.gov/pmc/blobs/55c3/10445594/37cb3b2567b7/d3ra03794k-f8.jpg
https://cdn.ncbi.nlm.nih.gov/pmc/blobs/55c3/10445594/441dc25cb085/d3ra03794k-f9.jpg
https://cdn.ncbi.nlm.nih.gov/pmc/blobs/55c3/10445594/04301e151aa6/d3ra03794k-f10.jpg
https://cdn.ncbi.nlm.nih.gov/pmc/blobs/55c3/10445594/e70602c0e604/d3ra03794k-f11.jpg
https://cdn.ncbi.nlm.nih.gov/pmc/blobs/55c3/10445594/cf7b75b08184/d3ra03794k-f12.jpg
https://cdn.ncbi.nlm.nih.gov/pmc/blobs/55c3/10445594/521c9d6e2233/d3ra03794k-f13.jpg
https://cdn.ncbi.nlm.nih.gov/pmc/blobs/55c3/10445594/fcc575f13278/d3ra03794k-f14.jpg
https://cdn.ncbi.nlm.nih.gov/pmc/blobs/55c3/10445594/60debf88e0cc/d3ra03794k-f1.jpg
https://cdn.ncbi.nlm.nih.gov/pmc/blobs/55c3/10445594/d2928cea5cf1/d3ra03794k-f2.jpg
https://cdn.ncbi.nlm.nih.gov/pmc/blobs/55c3/10445594/2ff577b1a976/d3ra03794k-f3.jpg
https://cdn.ncbi.nlm.nih.gov/pmc/blobs/55c3/10445594/b89adb77d46b/d3ra03794k-f4.jpg
https://cdn.ncbi.nlm.nih.gov/pmc/blobs/55c3/10445594/cff770520b5a/d3ra03794k-f5.jpg
https://cdn.ncbi.nlm.nih.gov/pmc/blobs/55c3/10445594/28c44e95de6c/d3ra03794k-f6.jpg
https://cdn.ncbi.nlm.nih.gov/pmc/blobs/55c3/10445594/bf0f585ff406/d3ra03794k-f7.jpg
https://cdn.ncbi.nlm.nih.gov/pmc/blobs/55c3/10445594/37cb3b2567b7/d3ra03794k-f8.jpg
https://cdn.ncbi.nlm.nih.gov/pmc/blobs/55c3/10445594/441dc25cb085/d3ra03794k-f9.jpg
https://cdn.ncbi.nlm.nih.gov/pmc/blobs/55c3/10445594/04301e151aa6/d3ra03794k-f10.jpg
https://cdn.ncbi.nlm.nih.gov/pmc/blobs/55c3/10445594/e70602c0e604/d3ra03794k-f11.jpg
https://cdn.ncbi.nlm.nih.gov/pmc/blobs/55c3/10445594/cf7b75b08184/d3ra03794k-f12.jpg
https://cdn.ncbi.nlm.nih.gov/pmc/blobs/55c3/10445594/521c9d6e2233/d3ra03794k-f13.jpg
https://cdn.ncbi.nlm.nih.gov/pmc/blobs/55c3/10445594/fcc575f13278/d3ra03794k-f14.jpg

相似文献

1
Decoration of polystyrene with nanoparticles of cobalt hydroxide as new composites for the removal of Fe(iii) and methylene blue from industrial wastewater.用氢氧化钴纳米颗粒修饰聚苯乙烯作为从工业废水中去除铁(III)和亚甲基蓝的新型复合材料。
RSC Adv. 2023 Aug 23;13(36):25334-25349. doi: 10.1039/d3ra03794k. eCollection 2023 Aug 21.
2
Nickel-hydroxide-encapsulated polyacrylamide as a novel adsorptive composite for the capture of methylene blue from wastewater.氢氧化镍包覆的聚丙烯酰胺作为一种新型吸附复合材料用于从废水中捕获亚甲基蓝。
Dalton Trans. 2023 Oct 10;52(39):14194-14209. doi: 10.1039/d3dt02696e.
3
LDH Nanocubes Synthesized with Zeolite Templates and Their High Performance as Adsorbents.用沸石模板合成的乳酸脱氢酶纳米立方体及其作为吸附剂的高性能。
Nanomaterials (Basel). 2021 Dec 7;11(12):3315. doi: 10.3390/nano11123315.
4
Graphene Oxide@Heavy Metal Ions (GO@M) Complex Simulated Waste as an Efficient Adsorbent for Removal of Cationic Methylene Blue Dye from Contaminated Water.氧化石墨烯@重金属离子(GO@M)复合物模拟废弃物作为从污染水中去除阳离子亚甲基蓝染料的高效吸附剂。
Materials (Basel). 2022 May 20;15(10):3657. doi: 10.3390/ma15103657.
5
Synthesis of EDTA-functionalized graphene oxide-chitosan nanocomposite for simultaneous removal of inorganic and organic pollutants from complex wastewater.EDTA 功能化氧化石墨烯-壳聚糖纳米复合材料的合成及其用于复杂废水中同时去除无机和有机污染物。
Chemosphere. 2022 Jan;287(Pt 4):132385. doi: 10.1016/j.chemosphere.2021.132385. Epub 2021 Sep 28.
6
Turning calcium carbonate into a cost-effective wastewater-sorbing material by occluding waste dye.用废弃染料封闭碳酸钙,将其转化为具有成本效益的废水吸附材料。
Environ Sci Pollut Res Int. 2010 Jan;17(1):97-105. doi: 10.1007/s11356-009-0111-y. Epub 2009 Mar 5.
7
Selective biosorption mechanism of methylene blue by a novel and reusable sugar beet pulp cellulose/sodium alginate/iron hydroxide composite hydrogel.新型可再生甜菜渣纤维素/海藻酸钠/氢氧化铁复合水凝胶对亚甲基蓝的选择性吸附机理。
Int J Biol Macromol. 2021 Oct 1;188:993-1002. doi: 10.1016/j.ijbiomac.2021.07.192. Epub 2021 Aug 3.
8
Fabrication of UiO-66/MIL-101(Fe) binary MOF/carboxylated-GO composite for adsorptive removal of methylene blue dye from aqueous solutions.用于从水溶液中吸附去除亚甲基蓝染料的UiO-66/MIL-101(Fe)二元金属有机框架/羧基化氧化石墨烯复合材料的制备
RSC Adv. 2020 May 19;10(32):19008-19019. doi: 10.1039/d0ra02424d. eCollection 2020 May 14.
9
Removal of methylene blue dye from aqueous solution using an efficient chitosan-pectin bio-adsorbent: kinetics and isotherm studies.使用高效壳聚糖-果胶生物吸附剂从水溶液中去除亚甲基蓝染料:动力学和等温线研究
Environ Monit Assess. 2023 Jan 27;195(2):339. doi: 10.1007/s10661-022-10900-4.
10
One-step in-situ sustainable synthesis of magnetic carbon nanocomposite from corn comb (MCCC): agricultural biomass valorisation for pollutant abatement in wastewater.从玉米芯一步原位可持续合成磁性碳纳米复合材料(MCCC):农业生物质增值用于废水污染物减排
Environ Sci Pollut Res Int. 2023 Mar;30(13):38425-38442. doi: 10.1007/s11356-022-24847-z. Epub 2022 Dec 29.

引用本文的文献

1
Amino-alcohol functionalized porous polymer coupled with chromium hydroxide nanoparticles for efficient Cd(ii) adsorption from aqueous solutions.氨基醇官能化多孔聚合物与氢氧化铬纳米颗粒耦合用于从水溶液中高效吸附Cd(ii)
RSC Adv. 2025 Feb 4;15(5):3480-3496. doi: 10.1039/d4ra08579e. eCollection 2025 Jan 29.

本文引用的文献

1
Efficient removal of noxious methylene blue and crystal violet dyes at neutral conditions by reusable montmorillonite/NiFeO@amine-functionalized chitosan composite.在中性条件下,通过可重复使用的蒙脱石/ NiFeO@胺功能化壳聚糖复合材料高效去除有害的亚甲基蓝和结晶紫染料。
Sci Rep. 2022 Sep 15;12(1):15499. doi: 10.1038/s41598-022-19570-1.
2
Recent advances in polymer composite, extraction, and their application for wastewater treatment: A review.聚合物复合材料的最新进展、提取及其在废水处理中的应用:综述。
Chemosphere. 2022 Dec;308(Pt 2):136368. doi: 10.1016/j.chemosphere.2022.136368. Epub 2022 Sep 8.
3
Application of a polymer-magnetic-algae based nano-composite for the removal of methylene blue - Characterization, parametric and kinetic studies.
基于聚合物-磁性藻类纳米复合材料的亚甲基蓝去除应用-特性、参数和动力学研究。
Environ Pollut. 2022 Jan 1;292(Pt B):118376. doi: 10.1016/j.envpol.2021.118376. Epub 2021 Oct 14.
4
Effective water/wastewater treatment methodologies for toxic pollutants removal: Processes and applications towards sustainable development.有效去除有毒污染物的水/废水处理方法:迈向可持续发展的工艺和应用。
Chemosphere. 2021 Oct;280:130595. doi: 10.1016/j.chemosphere.2021.130595. Epub 2021 Apr 27.
5
Forward osmosis membrane technology for nutrient removal/recovery from wastewater: Recent advances, proposed designs, and future directions.正向渗透膜技术用于从废水中去除/回收营养物质:最新进展、提出的设计和未来方向。
Chemosphere. 2021 Jan;263:128116. doi: 10.1016/j.chemosphere.2020.128116. Epub 2020 Aug 27.
6
A review on effective removal of emerging contaminants from aquatic systems: Current trends and scope for further research.关于有效去除水生系统中新兴污染物的综述:当前趋势和进一步研究的范围。
J Hazard Mater. 2021 May 5;409:124413. doi: 10.1016/j.jhazmat.2020.124413. Epub 2020 Oct 28.
7
Polystyrene Magnetic Nanocomposites as Antibiotic Adsorbents.聚苯乙烯磁性纳米复合材料作为抗生素吸附剂
Polymers (Basel). 2020 Jun 9;12(6):1313. doi: 10.3390/polym12061313.
8
Cadmium and iron removal from phosphoric acid using commercial resins for purification purpose.用商业树脂从磷酸中去除镉和铁以达到提纯的目的。
Environ Sci Pollut Res Int. 2020 Sep;27(25):31278-31288. doi: 10.1007/s11356-020-09342-7. Epub 2020 Jun 1.
9
A critical review of clay-based composites with enhanced adsorption performance for metal and organic pollutants.黏土基复合材料的评述:增强对金属和有机污染物的吸附性能。
J Hazard Mater. 2019 May 5;369:780-796. doi: 10.1016/j.jhazmat.2019.02.003. Epub 2019 Feb 5.
10
Biosorption of Fe(II) and Mn(II) ions from aqueous solution by rice husk ash.稻壳灰对水溶液中Fe(II)和Mn(II)离子的生物吸附
Biomed Res Int. 2014;2014:973095. doi: 10.1155/2014/973095. Epub 2014 Jun 1.