Suppr超能文献

缩小人类CCR5基因多态性与恰加斯病之间的关系:系统评价与荟萃分析

Narrowing the Relationship between Human CCR5 Gene Polymorphisms and Chagas Disease: Systematic Review and Meta-Analysis.

作者信息

Ferreira Jean Moisés, Santos Barbara Rayssa Correia Dos, Moura Edilson Leite de, Santos Ana Caroline Melo Dos, Vencioneck Dutra Jean Carlos, Figueiredo Elaine Virgínia Martins de Sousa, Lima Filho José Luiz de

机构信息

Laboratório de Imunopatologia Keizo Asami-LIKA, Centro de Biocièncias, Universidade Federal de Pernambuco (UFPE), Recife 50670-901, Pernambuco, Brazil.

Secretaria de Estado de Educação do Espírito Santo (SEDU), Santa Lucia, Vitória 29056-085, Espírito Santo, Brazil.

出版信息

Life (Basel). 2023 Aug 2;13(8):1677. doi: 10.3390/life13081677.

Abstract

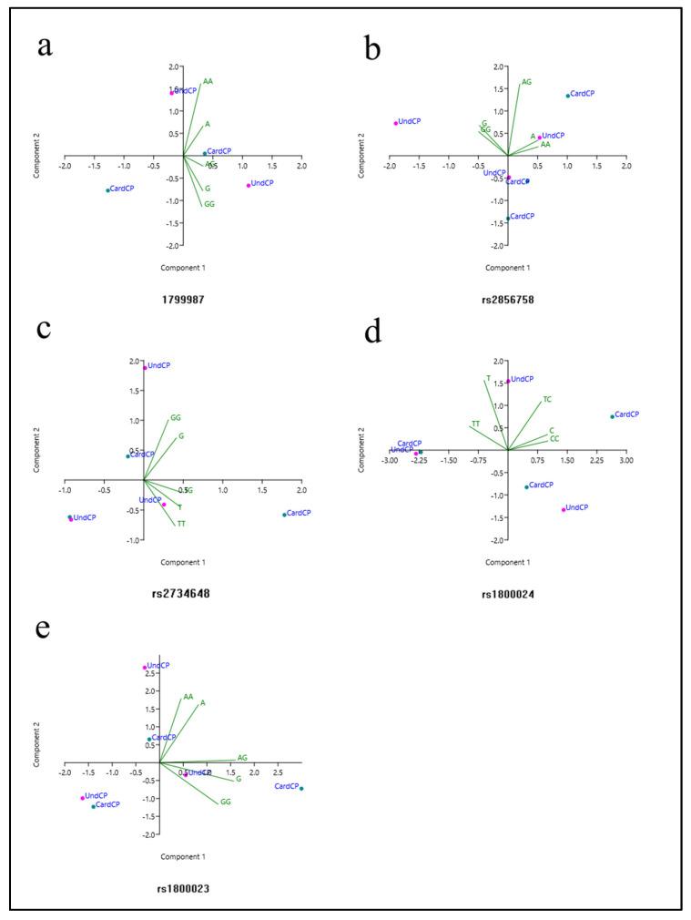
Our aim was to carry out a qualitative and quantitative synthesis of the influence of CCR5 genetic variants on Chagas disease (CD) through a systematic review. A total of 1197 articles were analyzed, and eleven were included in the review. A meta-analysis was conducted along with principal component analyses (PCAs). The polymorphisms found were analyzed using the SNP2TFBS tool to identify possible variants that influence the interaction with gene binding sites. Eleven studied variants were identified: rs2856758, rs2734648, rs1799987, rs1799988, rs41469351, rs1800023, rs1800024, Δ32/rs333, rs3176763, rs3087253 and rs11575815. The studies analyzed were published between 2001 and 2019, conducted in Argentina, Brazil, Spain, Colombia and Venezuela, and included Argentine, Brazilian, Colombian, Peruvian and Venezuelan patients. Eight polymorphisms were subjected to the meta-analysis, of which six were associated with the development of the cardiac form of CD: rs1799987-G/G and G/A in the dominance model and G/G in the recessiveness model; rs2856758-A/G in the codominance model; rs2734648-T/T and T/G in the dominance model; rs1799988-T/T in both the codominance and recessiveness models; rs1800023-G allele and the G/G genotype in the codominance and recessiveness models, and the G/G and G/A genotypes in the dominance model; and rs1800024-T allele. The PCA analyses were able to indicate the relationships between the alleles and the genotypes of the polymorphisms. The SNP2TFBS tool identified rs1800023 as an influencer of the Spi1 transcription factor ( < 0.05). A correlation was established between the alleles associated with the cardiac form of CD in this review, members of the C haplotype of the gene (HHC-TGTG), and the cardiac form of CD.

摘要

我们的目标是通过系统综述对CCR5基因变异对恰加斯病(CD)的影响进行定性和定量综合分析。共分析了1197篇文章,其中11篇纳入综述。进行了荟萃分析以及主成分分析(PCA)。使用SNP2TFBS工具分析发现的多态性,以识别可能影响与基因结合位点相互作用的变异。共鉴定出11个研究的变异:rs2856758、rs2734648、rs1799987、rs1799988、rs41469351、rs1800023、rs1800024、Δ32/rs333、rs3176763、rs3087253和rs11575815。分析的研究发表于2001年至2019年之间,在阿根廷、巴西、西班牙、哥伦比亚和委内瑞拉开展,纳入了阿根廷、巴西、哥伦比亚、秘鲁和委内瑞拉的患者。8个多态性进行了荟萃分析,其中6个与CD心脏型的发生相关:显性模型中rs1799987 - G/G和G/A以及隐性模型中G/G;共显性模型中rs2856758 - A/G;显性模型中rs2734648 - T/T和T/G;共显性和隐性模型中rs1799988 - T/T;共显性和隐性模型中rs1800023 - G等位基因以及G/G基因型,显性模型中G/G和G/A基因型;以及rs1800024 - T等位基因。PCA分析能够表明多态性的等位基因与基因型之间的关系。SNP2TFBS工具将rs1800023鉴定为Spi1转录因子的影响因素(<0.05)。本综述中与CD心脏型相关的等位基因、该基因C单倍型(HHC - TGTG)的成员与CD心脏型之间建立了相关性。

https://cdn.ncbi.nlm.nih.gov/pmc/blobs/b73a/10455882/508bba1f64d0/life-13-01677-g001.jpg

文献AI研究员

20分钟写一篇综述,助力文献阅读效率提升50倍。

立即体验

用中文搜PubMed

大模型驱动的PubMed中文搜索引擎

马上搜索

文档翻译

学术文献翻译模型,支持多种主流文档格式。

立即体验