Hadámek Tomáš, Jørstad Nils Petter, de Orio Roberto Lacerda, Goes Wolfgang, Selberherr Siegfried, Sverdlov Viktor
Christian Doppler Laboratory for Nonvolatile Magnetoresistive Memory and Logic, Institute for Microelectronics, TU Wien, Gußhausstraße 27-29, A-1040 Wien, Austria.
Institute for Microelectronics, TU Wien, Gußhausstraße 27-29, A-1040 Wien, Austria.
Micromachines (Basel). 2023 Aug 11;14(8):1581. doi: 10.3390/mi14081581.
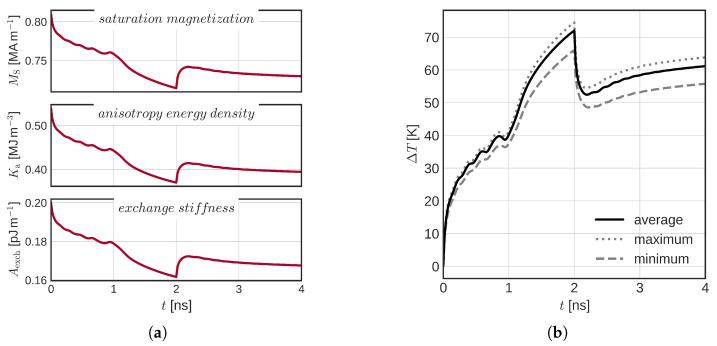
We employ a fully three-dimensional model coupling magnetization, charge, spin, and temperature dynamics to study temperature effects in spin-orbit torque (SOT) magnetoresistive random access memory (MRAM). SOTs are included by considering spin currents generated through the spin Hall effect. We scale the magnetization parameters with the temperature. Numerical experiments show several time scales for temperature dynamics. The relatively slow temperature increase, after a rapid initial temperature rise, introduces an incubation time to the switching. Such a behavior cannot be reproduced with a constant temperature model. Furthermore, the critical SOT switching voltage is significantly reduced by the increased temperature. We demonstrate this phenomenon for switching of field-free SOT-MRAM. In addition, with an external-field-assisted switching, the critical SOT voltage shows a parabolic decrease with respect to the voltage applied across the magnetic tunnel junction (MTJ) of the SOT-MRAM cell, in agreement with recent experimental data.
我们采用一个完全三维的模型,该模型耦合了磁化、电荷、自旋和温度动力学,以研究自旋轨道矩(SOT)磁阻随机存取存储器(MRAM)中的温度效应。通过考虑自旋霍尔效应产生的自旋电流来纳入SOT。我们用温度对磁化参数进行标度。数值实验显示了温度动力学的几个时间尺度。在初始温度快速上升之后,相对缓慢的温度升高为开关引入了一个潜伏期。这种行为无法用恒温模型再现。此外,温度升高会显著降低临界SOT开关电压。我们针对无场SOT-MRAM的开关演示了这一现象。此外,在外场辅助开关的情况下,临界SOT电压相对于施加在SOT-MRAM单元的磁性隧道结(MTJ)上的电压呈抛物线下降,这与最近的实验数据一致。