Suppr超能文献

基于机器学习的 ERCP 金属支架置入后不可切除恶性胆道梗阻患者 30 天死亡率预测列线图:一项回顾性观察队列研究。

Machine learning-based nomogram for 30-day mortality prediction for patients with unresectable malignant biliary obstruction after ERCP with metal stent: a retrospective observational cohort study.

机构信息

Jiaxing University Master Degree Cultivation Base, Zhejiang Chinese Medical University, Jiaxing, Zhejiang, China.

Department of Hepatobiliary and Pancreatic Surgery, First Hospital of Jiaxing, Affiliated Hospital of Jiaxing University, Jiaxing, Zhejiang, China.

出版信息

BMC Surg. 2023 Aug 30;23(1):260. doi: 10.1186/s12893-023-02158-5.

Abstract

BACKGROUND

This study aimed to investigate the risk factors for 30-day mortality in patients with malignant biliary obstruction (MBO) after endoscopic retrograde cholangiopancreatography (ERCP) with endobiliary metal stent placement. Furthermore, we aimed to construct and visualize a prediction model based on LASSO-logistic regression.

METHODS

Data were collected from 245 patients who underwent their first ERCP with endobiliary metal stent placement for unresectable MBO between June 1, 2013, and August 31, 2021. Univariable and multivariable logistic regression analyses were conducted to identify the risk factors for 30-day mortality. We subsequently developed a logistic regression model that incorporated multiple parameters identified by LASSO regression. The model was visualized and the nomogram was plotted. Risk stratification was performed based on nomogram-derived scores.

RESULTS

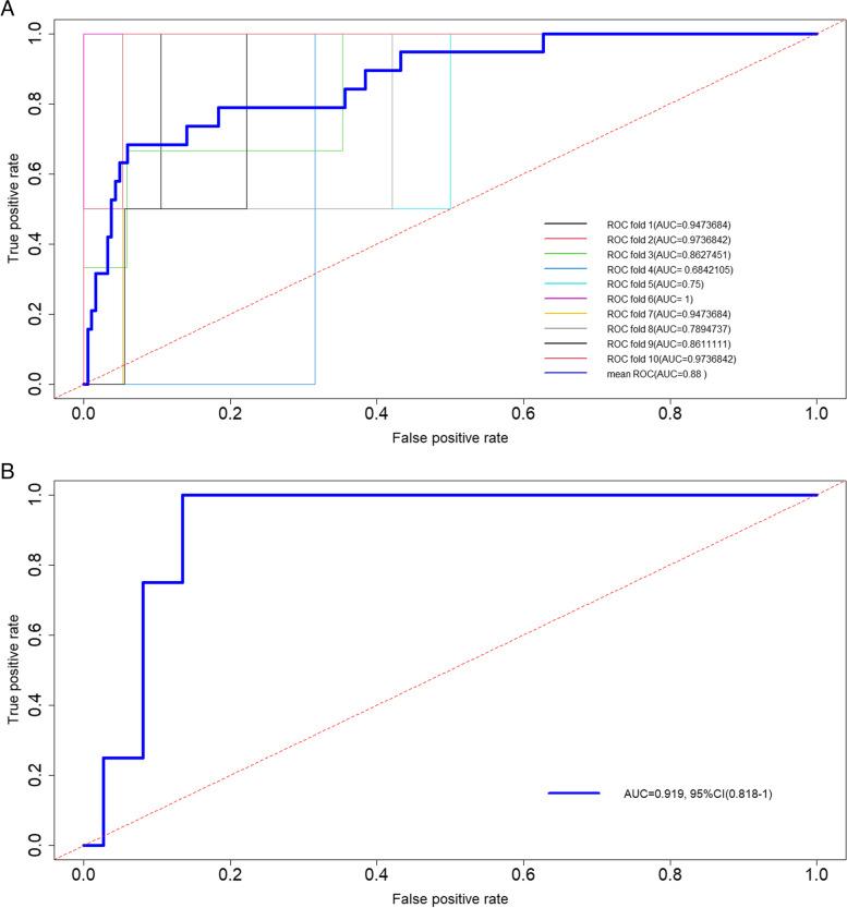
The 30-day mortality rate was 10.7% (23/245 patients). Distant metastasis, total bilirubin, post-ERCP complications, and successful drainage were independent risk factors of 30-day mortality. The variables screened by LASSO regression, including distant metastasis, total bilirubin, post-ERCP complications, and successful drainage, were incorporated into the logistic model. The results were visualized through a nomogram based on the model. To assess the model's performance, discrimination was evaluated using the area-under-the-curve values obtained from receiver operating characteristic analyses with 10-fold cross-validation in the training group and validated in the testing group. The calibration curve showed the good predictive ability of the model. Decision curve analysis is used to evaluate the clinical application of nomogram. Finally, we performed risk stratification based on the risk calculated using the nomogram. Patients were assigned to the low-, moderate-, and high-risk groups based on their probability scores. The Kaplan-Meier survival curves for the different nomogram-based groups were significantly different (p < 0.001).

CONCLUSIONS

We developed a nomogram using the LASSO-logistic regression model to forecast the 30-day mortality rate in patients who had undergone ERCP with endobiliary metal stent placement due to MBO. This nomogram can assist in identifying individuals at high-risk of 30-day mortality following ERCP.

摘要

背景

本研究旨在探讨内镜逆行胰胆管造影(ERCP)内胆管金属支架置入术后恶性胆道梗阻(MBO)患者 30 天死亡率的危险因素,并基于 LASSO-逻辑回归构建并可视化预测模型。

方法

收集 2013 年 6 月 1 日至 2021 年 8 月 31 日期间 245 例因不可切除的 MBO 而行首次 ERCP 联合内胆管金属支架置入术患者的数据。采用单变量和多变量逻辑回归分析确定 30 天死亡率的危险因素。随后,我们建立了一个纳入 LASSO 回归识别的多个参数的逻辑回归模型。对模型进行可视化并绘制诺莫图。基于诺莫图得出的分数进行风险分层。

结果

30 天死亡率为 10.7%(23/245 例)。远处转移、总胆红素、ERCP 后并发症和引流成功是 30 天死亡率的独立危险因素。LASSO 回归筛选出的变量,包括远处转移、总胆红素、ERCP 后并发症和引流成功,被纳入逻辑模型。通过基于模型的诺莫图对结果进行可视化。为了评估模型的性能,在训练组中使用 10 倍交叉验证获得受试者工作特征曲线下面积值,并在测试组中进行验证,评估模型的区分度。校准曲线显示模型具有良好的预测能力。决策曲线分析用于评估诺莫图的临床应用。最后,我们根据诺莫图计算的风险进行风险分层。根据概率评分将患者分为低危、中危和高危组。不同基于诺莫图的组之间的 Kaplan-Meier 生存曲线有显著差异(p<0.001)。

结论

我们使用 LASSO-逻辑回归模型建立了一个诺莫图,用于预测因 MBO 而行 ERCP 内胆管金属支架置入术患者的 30 天死亡率。该诺莫图有助于识别 ERCP 后 30 天内死亡率较高的个体。

https://cdn.ncbi.nlm.nih.gov/pmc/blobs/ca93/10470194/5a7c452e07c7/12893_2023_2158_Fig1_HTML.jpg

文献AI研究员

20分钟写一篇综述,助力文献阅读效率提升50倍。

立即体验

用中文搜PubMed

大模型驱动的PubMed中文搜索引擎

马上搜索

文档翻译

学术文献翻译模型,支持多种主流文档格式。

立即体验