Suppr超能文献

Marchiafava-Bignami 病不良预后的危险因素和动态列线图

Risk factors and dynamic nomogram for unfavorable prognosis of Marchiafava-Bignami disease.

机构信息

Suzhou Medical College of Soochow University, Suzhou, Jiangsu, 215123, China.

Department of Neurology, Affiliated Hospital of Zunyi Medical University, Zunyi, Guizhou, 563003, China.

出版信息

Ann Clin Transl Neurol. 2023 Nov;10(11):2013-2024. doi: 10.1002/acn3.51888. Epub 2023 Aug 30.

Abstract

OBJECTIVE

Most patients with Marchiafava-Bignami disease (MBD) had unfavorable prognosis, with disability or death. We aimed to determine the risk factors of early unfavorable prognosis of MBD, and to develop a predictive nomogram for early unfavorable prognosis of MBD.

METHODS

MBD patients admitted to our hospital between 1 January 2013 and 31 December 2021 were included. Unfavorable prognosis was defined as mRS score ≥3, the independent risk factors for unfavorable prognosis of MBD with the odds ratio (OR) and 95% confidential interval (CI) acquired by multiple logistic regression were included in development of the predictive nomogram for early unfavorable prognosis of MBD, and the area under curve (AUC) of the receiver operating characteristic curve was calculated. The published case reports of MBD were used as the external validation group to verify the predictive ability of the nomogram.

RESULTS

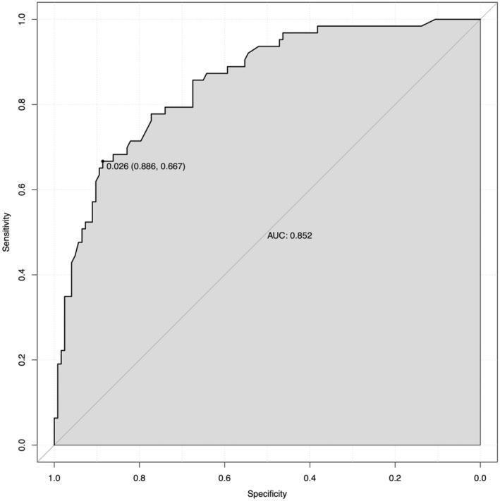
Independent risk factors for early unfavorable prognosis of MBD included Glasgow Coma Scale score (OR = 0.636, 95% CI = 0.506-0.800, p = 0.004) and pneumonia (OR = 2.317, 95% CI = 1.003-5.352, p = 0.049). The AUC of the nomogram was 0.852. Ninety-four case reports, a total of 100 cases of MBD were included as the external validation group, its AUC was 0.840. The online dynamic nomogram for early unfavorable prognosis of MBD was constructed.

INTERPRETATION

It is confirmed by external validation that the nomogram has a preferable predictive ability and clinical efficacy, and the dynamic online predictive nomogram is helpful for physicians to quickly assess the prognosis of MBD.

摘要

目的

大多数 Marchiafava-Bignami 病(MBD)患者预后不良,存在残疾或死亡风险。本研究旨在确定 MBD 早期不良预后的危险因素,并建立 MBD 早期不良预后的预测列线图。

方法

纳入 2013 年 1 月 1 日至 2021 年 12 月 31 日期间在我院住院的 MBD 患者。预后不良定义为 mRS 评分≥3。采用多因素逻辑回归分析获得 MBD 不良预后的独立危险因素,纳入建立 MBD 早期不良预后预测列线图的风险比(OR)和 95%置信区间(CI),计算受试者工作特征曲线(ROC)的曲线下面积(AUC)。使用发表的 MBD 病例报告作为外部验证组,验证列线图的预测能力。

结果

MBD 早期不良预后的独立危险因素包括格拉斯哥昏迷量表评分(OR=0.636,95%CI=0.506-0.800,p=0.004)和肺炎(OR=2.317,95%CI=1.003-5.352,p=0.049)。列线图的 AUC 为 0.852。纳入 94 例病例报告,共 100 例 MBD 作为外部验证组,其 AUC 为 0.840。构建了 MBD 早期不良预后的在线动态列线图。

结论

外部验证证实该列线图具有较好的预测能力和临床疗效,在线动态预测列线图有助于医生快速评估 MBD 的预后。

https://cdn.ncbi.nlm.nih.gov/pmc/blobs/fd79/10647010/168c154814d3/ACN3-10-2013-g003.jpg

文献AI研究员

20分钟写一篇综述,助力文献阅读效率提升50倍。

立即体验

用中文搜PubMed

大模型驱动的PubMed中文搜索引擎

马上搜索

文档翻译

学术文献翻译模型,支持多种主流文档格式。

立即体验