Wang Yanning, Gao Tianyun, Li WanTing, Tai Chenxu, Xie Yuanyuan, Chen Dong, Liu Shuo, Huang Feifei, Wang Wenqing, Chen Yuxin, Wang Bin
Clinical Stem Cell Center, Nanjing Drum Tower Hospital, The Affiliated Hospital of Nanjing Medical School, Nanjing University, 321 Zhongshan Road, Nanjing, 210000, China.
Department of Infectious Diseases, Nanjing Drum Tower Hospital Clinical College of Xuzhou Medical University, Nanjing, 21000, China.
Cell Biosci. 2023 Aug 31;13(1):160. doi: 10.1186/s13578-023-01099-z.
The emergence of SARS-CoV-2 becomes life-threatening for the older and immunocompromised individuals, whereas limited treatment is available on these populations. Mesenchymal stromal cells (MSCs) have been reported to be useful in SARS-CoV-2 treatment and reduce SARS-CoV-2-related sequelae.
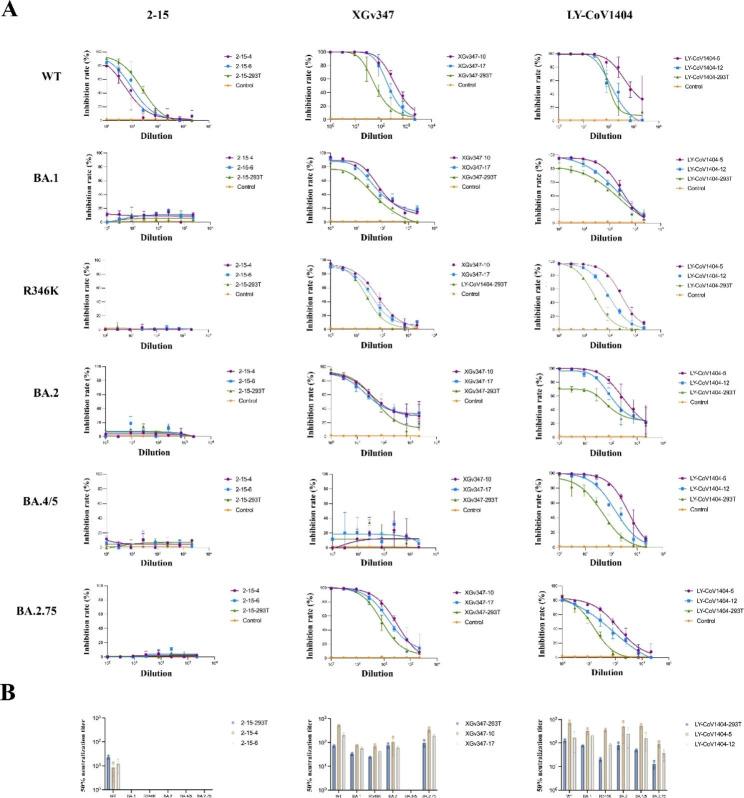
In this study, we developed an autonomous cellular machine to secret neutralizing antibody in vivo constantly based on the clinical-grade MSCs, to combat SARS-CoV-2 infections. First, various modified recombinant plasmids were constructed and transfected into clinical-grade MSCs by electroporation, for assembly and expression of neutralizing anti-SARS-CoV-2 antibodies. Second, the stable antibody secreting MSCs clones were screened through pseudovirus neutralization assay. Finally, we investigated the pharmacokinetics and biodistribution of neutralizing antibody secreted by engineered MSCs in vivo. The stable clinical-grade MSCs clones, expressing XGv347-10 and LY-CoV1404-5 neutralizing antibodies, exhibited their feasibility and protective efficacy against SARS-CoV-2 infection. Transplanted engineered clinical-grade MSCs effectively delivered the SARS-CoV-2 antibodies to the lung, and the immune hyperresponsiveness caused by COVID-19 was coordinated by MSC clones through inhibiting the differentiation of CD4 + T cells into Th1 and Th17 subpopulations.
Our data suggested that engineered clinical-grade MSCs secreting effective neutralizing antibodies as cellular production machines had the potential to combat SARS-CoV-2 infection, which provided a new avenue for effectively treating the older and immunocompromised COVID-19 patients.
严重急性呼吸综合征冠状病毒2(SARS-CoV-2)的出现对老年人和免疫功能低下的个体构成生命威胁,而针对这些人群的治疗方法有限。据报道,间充质基质细胞(MSC)可用于治疗SARS-CoV-2并减少与SARS-CoV-2相关的后遗症。
在本研究中,我们基于临床级MSC开发了一种自主细胞机器,用于在体内持续分泌中和抗体,以对抗SARS-CoV-2感染。首先,构建各种修饰的重组质粒,并通过电穿孔转染到临床级MSC中,用于组装和表达中和抗SARS-CoV-2抗体。其次,通过假病毒中和试验筛选稳定分泌抗体的MSC克隆。最后,我们研究了工程化MSC在体内分泌的中和抗体的药代动力学和生物分布。表达XGv347-10和LY-CoV1404-5中和抗体的稳定临床级MSC克隆显示出其对SARS-CoV-2感染的可行性和保护效果。移植的工程化临床级MSC有效地将SARS-CoV-2抗体递送至肺部,并且MSC克隆通过抑制CD4 + T细胞分化为Th1和Th17亚群来协调由COVID-19引起的免疫高反应性。
我们的数据表明,作为细胞生产机器分泌有效中和抗体的工程化临床级MSC有潜力对抗SARS-CoV-2感染,这为有效治疗老年和免疫功能低下的COVID-19患者提供了一条新途径。