School of Public Health (Shenzhen), Shenzhen Campus of Sun Yat-sen University, Shenzhen, China.
School of Public Health (Shenzhen), Sun Yat-sen University, Guangzhou, China.
Front Immunol. 2023 Aug 16;14:1195533. doi: 10.3389/fimmu.2023.1195533. eCollection 2023.
Pre-existing cross-reactive immunity among different coronaviruses, also termed immune imprinting, may have a comprehensive impact on subsequent SARS-CoV-2 infection and COVID-19 vaccination effectiveness. Here, we aim to explore the interplay between pre-existing seasonal coronaviruses (sCoVs) antibodies and the humoral immunity induced by COVID-19 vaccination.
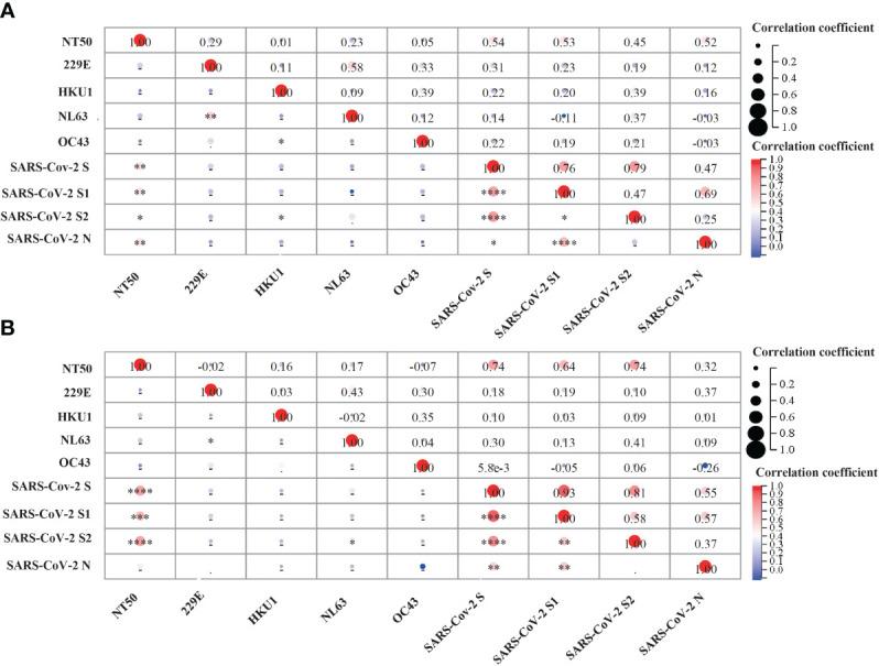
We first collected serum samples from healthy donors prior to COVID-19 pandemic and individuals who had received COVID-19 vaccination post-pandemic in China, and the levels of IgG antibodies against sCoVs and SARS-CoV-2 were detected by ELISA. Wilcoxon rank sum test and chi-square test were used to compare the difference in magnitude and seropositivity rate between two groups. Then, we recruited a longitudinal cohort to collect serum samples before and after COVID-19 vaccination. The levels of IgG antibodies against SARS-CoV-2 S, S1, S2 and N antigen were monitored. Association between pre-existing sCoVs antibody and COVID-19 vaccination-induced antibodies were analyzed by Spearman rank correlation.
96.0% samples (339/353) showed the presence of IgG antibodies against at least one subtype of sCoVs. 229E and OC43 exhibited the highest seroprevalence rates at 78.5% and 72.0%, respectively, followed by NL63 (60.9%) and HKU1 (52.4%). The levels of IgG antibodies against two β coronaviruses (OC43 and HKU1) were significantly higher in these donors who had inoculated with COVID-19 vaccines compared to pre-pandemic healthy donors. However, we found that COVID-19 vaccine-induced antibody levels were not significant different between two groups with high levelor low level of pre-existing sCoVs antibody among the longitudinal cohort.
We found a high prevalence of antibodies against sCoVs in Chinese population. The immune imprinting by sCoVs could be reactivated by COVID-19 vaccination, but it did not appear to be a major factor affecting the immunogenicity of COVID-19 vaccine. These findings will provide insights into understanding the impact of immune imprinting on subsequent multiple shots of COVID-19 vaccines.
不同冠状病毒之间预先存在的交叉反应性免疫,也称为免疫印迹,可能对随后的 SARS-CoV-2 感染和 COVID-19 疫苗接种效果产生全面影响。在这里,我们旨在探讨预先存在的季节性冠状病毒(sCoVs)抗体与 COVID-19 疫苗接种诱导的体液免疫之间的相互作用。
我们首先收集了 COVID-19 大流行前中国健康献血者和大流行后接种 COVID-19 疫苗者的血清样本,并通过 ELISA 检测针对 sCoVs 和 SARS-CoV-2 的 IgG 抗体水平。Wilcoxon 秩和检验和卡方检验用于比较两组之间抗体水平和血清阳性率的差异。然后,我们招募了一个纵向队列,在接种 COVID-19 疫苗前后收集血清样本。监测针对 SARS-CoV-2 S、S1、S2 和 N 抗原的 IgG 抗体水平。通过 Spearman 秩相关分析来分析预先存在的 sCoVs 抗体与 COVID-19 疫苗接种诱导的抗体之间的关联。
96.0%的样本(339/353)显示至少有一种 sCoVs 亚型的 IgG 抗体存在。229E 和 OC43 的血清阳性率最高,分别为 78.5%和 72.0%,其次是 NL63(60.9%)和 HKU1(52.4%)。与大流行前的健康献血者相比,接种 COVID-19 疫苗的这些供体中针对两种β冠状病毒(OC43 和 HKU1)的 IgG 抗体水平明显更高。然而,我们发现,在纵向队列中,高预存 sCoVs 抗体组和低预存 sCoVs 抗体组之间,COVID-19 疫苗诱导的抗体水平没有显著差异。
我们发现中国人群中 sCoVs 抗体的流行率很高。sCoVs 的免疫印迹可以被 COVID-19 疫苗接种重新激活,但它似乎不是影响 COVID-19 疫苗免疫原性的主要因素。这些发现将为理解免疫印迹对随后多次 COVID-19 疫苗接种的影响提供见解。