Suppr超能文献

激素受体阳性和 HER2 阴性转移性乳腺癌患者采用帕博西尼和激素治疗作为一线治疗:第一周期中性粒细胞减少和剂量减少对治疗结果的影响。

Hormonal-Receptors-Positive and HER2-Negative Patients with Metastatic Breast Cancer Treated with First-Line Palbociclib and Hormonal Therapy: Impact of First-Cycle Neutropenia and Dose Reduction on Therapeutic Outcome.

机构信息

Medical Oncology Department, Oncology Center, King Abdullah Medical City, Makkah, Saudi Arabia.

Medical Oncology, Oncology Center, Mansoura University, Mansoura, Egypt.

出版信息

Breast J. 2023 Aug 25;2023:8994954. doi: 10.1155/2023/8994954. eCollection 2023.

Abstract

BACKGROUND

CDK 4/6 inhibitors with hormonal therapy are the standard first-line therapy in metastatic hormonal receptors (HR)-positive and HER2-negative breast cancer. This study aims to assess the impact of neutropenia with 1st cycle, dose reduction, HER2-low status, and other clinicopathological factors on survival outcomes with the first-line palbociclib and hormonal therapy. . In this retrospective study, we recruited patients with metastatic HR-positive and HER2-negative breast cancer. Neutropenia with 1st cycle, palbociclib dose reduction in addition to different clinicopathological and survival data were checked in patients' medical records. Survival outcomes were compared according to the abovementioned factors.

RESULTS

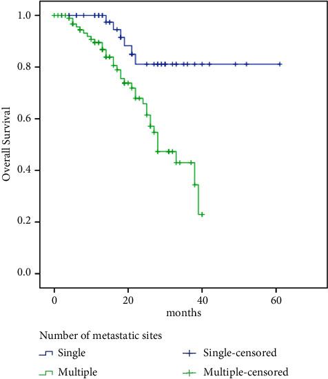
We recruited 150 patients who received first-line palbociclib with hormonal therapy. 86% of patients developed 1st cycle neutropenia which was more common in patients with high Ki67. Dose reduction was recorded in 46.7% of patients and it was more common in patients with higher Allred scores (scores 7-8). The median progression-free survival (PFS) of the study group was 22 months. No significant difference was observed in PFS according to the 1st cycle of neutropenia or grade of neutropenia. Similarly, no difference in PFS according to palbociclib dose reduction and HER2 low status was observed. Only the Allred score and having a single site of metastasis had an independent significant relation with PFS. The median overall survival (OS) of the study group was 39 months. No significant difference was observed in OS according to the 1st cycle neutropenia, grade of neutropenia, palbociclib dose reduction, and HER2-low status. Only the Allred score and having a single site of metastasis had an independent significant relation with OS. In addition, no difference was observed in PFS and OS according to ECOG PS (2 vs. 0-1) or menopausal status.

CONCLUSION

No significant impact of the 1st cycle neutropenia, dose reduction, having ECOG PS2, menopausal status, or HER2 low status on survival outcome was observed. Survival outcome was significantly better in patients with single metastatic sites and higher ER-Allred scores.

摘要

背景

CDK4/6 抑制剂联合激素治疗是转移性激素受体(HR)阳性和 HER2 阴性乳腺癌的标准一线治疗。本研究旨在评估第一周期中性粒细胞减少、剂量减少、HER2 低状态以及其他临床病理因素对一线哌柏西利联合激素治疗的生存结局的影响。 在这项回顾性研究中,我们招募了转移性 HR 阳性和 HER2 阴性乳腺癌患者。检查了患者病历中的第一周期中性粒细胞减少、哌柏西利剂量减少以及不同的临床病理和生存数据。根据上述因素比较生存结局。

结果

我们招募了 150 名接受一线哌柏西利联合激素治疗的患者。86%的患者出现第一周期中性粒细胞减少,高 Ki67 患者更常见。46.7%的患者记录了剂量减少,Allred 评分较高(评分 7-8)的患者更常见。研究组的中位无进展生存期(PFS)为 22 个月。第一周期中性粒细胞减少或中性粒细胞减少程度与 PFS 无显著差异。同样,哌柏西利剂量减少和 HER2 低状态与 PFS 无差异。只有 Allred 评分和单一转移部位与 PFS 有独立显著关系。研究组的中位总生存期(OS)为 39 个月。第一周期中性粒细胞减少、中性粒细胞减少程度、哌柏西利剂量减少和 HER2 低状态与 OS 无显著差异。只有 Allred 评分和单一转移部位与 OS 有独立显著关系。此外,ECOG PS(2 与 0-1)或绝经状态与 PFS 和 OS 无差异。

结论

第一周期中性粒细胞减少、剂量减少、ECOG PS2、绝经状态或 HER2 低状态对生存结局无显著影响。单一转移部位和更高的 ER-Allred 评分的患者生存结局更好。

https://cdn.ncbi.nlm.nih.gov/pmc/blobs/15af/10473893/1d8872b4b819/TBJ2023-8994954.001.jpg

文献检索

告别复杂PubMed语法,用中文像聊天一样搜索,搜遍4000万医学文献。AI智能推荐,让科研检索更轻松。

立即免费搜索

文件翻译

保留排版,准确专业,支持PDF/Word/PPT等文件格式,支持 12+语言互译。

免费翻译文档

深度研究

AI帮你快速写综述,25分钟生成高质量综述,智能提取关键信息,辅助科研写作。

立即免费体验