Suppr超能文献

液态水动力学的简单模型

Simple Model of Liquid Water Dynamics.

作者信息

Urbic Tomaz, Dill Ken A

机构信息

Faculty of Chemistry and Chemical Technology, University of Ljubljana, Večna pot 113, SI-1000 Ljubljana, Slovenia.

Laufer Center for Physical and Quantitative Biology, and Departments of Chemistry and of Physics & Astronomy, Stony Brook University, Stony Brook, New York 11794-5252, United States.

出版信息

J Phys Chem B. 2023 Sep 21;127(37):7996-8001. doi: 10.1021/acs.jpcb.3c05212. Epub 2023 Sep 6.

Abstract

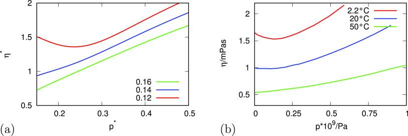
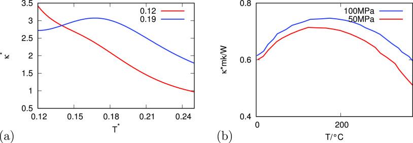
We develop an analytical statistical-mechanical model to study the dynamic properties of liquid water. In this two-dimensional model, neighboring waters can interact through a hydrogen bond, a van der Waals contact, or an ice-like cage structure or have no interaction. We calculate the diffusion coefficient, viscosity, and thermal conductivity versus temperature and pressure. The trends follow those seen in the water experiments. The model explains that in warm water, heating drives faster diffusion but less interaction, so the viscosity and conductivity decrease. Cooling cold water causes poorer energy exchange because water's ice-like cages are big and immobile and collide infrequently. The main antagonism in water dynamics is not between vdW and H bonds, but it is an interplay between both those pair interactions, multibody cages, and no interaction. The value of this simple model is that it is analytical, so calculations are immediate, and it gives interpretations based on molecular physics.

摘要

我们开发了一个分析性统计力学模型来研究液态水的动力学性质。在这个二维模型中,相邻的水分子可以通过氢键、范德华接触、类冰笼状结构相互作用,或者不发生相互作用。我们计算了扩散系数、粘度和热导率随温度和压力的变化。这些趋势与水的实验结果一致。该模型解释了在温水里,加热促使扩散加快但相互作用减少,因此粘度和热导率降低。冷却冷水会导致能量交换变差,因为水的类冰笼状结构较大且不移动,相互碰撞的频率较低。水动力学中的主要对抗并非存在于范德华力和氢键之间,而是这两种相互作用对、多体笼状结构以及无相互作用之间的相互影响。这个简单模型的价值在于它具有解析性,所以计算即时,并且能基于分子物理学给出解释。

https://cdn.ncbi.nlm.nih.gov/pmc/blobs/38a3/10518820/26ddeb7712ed/jp3c05212_0001.jpg

文献AI研究员

20分钟写一篇综述,助力文献阅读效率提升50倍。

立即体验

用中文搜PubMed

大模型驱动的PubMed中文搜索引擎

马上搜索

文档翻译

学术文献翻译模型,支持多种主流文档格式。

立即体验