Suppr超能文献

晚期非透明细胞肾细胞癌的治疗与生存:一项单中心真实世界研究经验

Advanced Non-Clear Cell Renal Cell Carcinoma Treatments and Survival: A Real-World Single-Centre Experience.

作者信息

Bimbatti Davide, Pierantoni Francesco, Lai Eleonora, Ballestrin Melissa, Cavasin Nicolò, Erbetta Elisa, De Toni Chiara, Basso Umberto, Maruzzo Marco

机构信息

Oncology 1 Unit, Istituto Oncologico Veneto, IOV-IRCCS, 35128 Padova, Italy.

Oncology 3 Unit, Istituto Oncologico Veneto, IOV-IRCCS, 35128 Padova, Italy.

出版信息

Cancers (Basel). 2023 Aug 31;15(17):4353. doi: 10.3390/cancers15174353.

Abstract

BACKGROUND

Non-clear cell renal cell carcinoma (nccRCC) is a heterogeneous group of cancer. Treatment recommendations are extrapolated from ccRCC and lack solid evidence. Here, we review advanced nccRCC patients treated at our institute.

PATIENTS AND METHODS

We collected retrospective data on all advanced nccRCC pts treated at the Istituto Oncologico Veneto from January 2008. We compared overall response rate (ORR), progression free survival (PFS) and overall survival (OS) according to histological subtypes and type of systemic treatments. Kaplan-Meier method, log-rank test and Cox regression were used to estimate and compare PFS and OS.

RESULTS

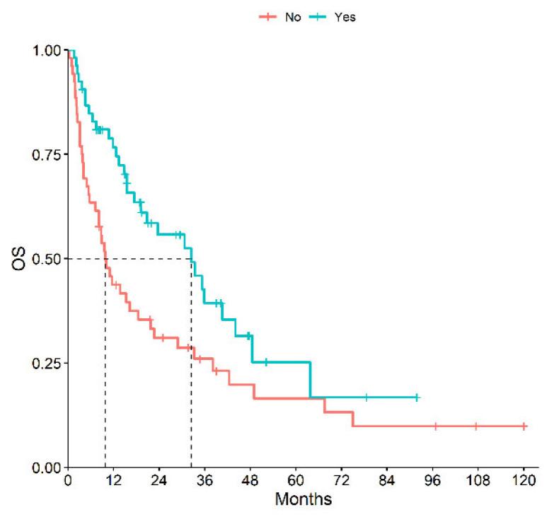
Of 1370 RCC patients, 289 had a diagnosis of nccRCC and 121 were eligible for the analysis. Fifty-three pts showed papillary histology (pRCC), 15 chromophobe; 37 unclassified RCC (NOS-RCC), 16 other histologies. Pts with chromophobe and other hystologies showed poorer survival rates compared to pRCC and NOS-RCC (mOS 10.7 vs. 20.7 vs. 30.7, = 0.34). Pts treated with combination regimens achieved a better OS (30.7 vs. 13.7, = 0.10), PFS (12.7 vs. 6.4, = 0.10) and ORR (42.4% vs. 13.9%, = 0.002) than those treated with monotherapy. IMDC and Meet-URO score retained their prognostic value.

CONCLUSION

Our retrospective real-life cohort of advanced nccRCC patients shows that immunotherapy-based combinations could improve ORR, PFS and OS compared to TKI monotherapy. Prospective trials for nccRCC patients utilizing novel therapies are ongoing and their results eagerly awaited.

摘要

背景

非透明细胞肾细胞癌(nccRCC)是一组异质性癌症。治疗建议是从透明细胞肾细胞癌(ccRCC)推断而来,缺乏确凿证据。在此,我们回顾了在我们研究所接受治疗的晚期nccRCC患者。

患者与方法

我们收集了自2008年1月起在威尼斯肿瘤研究所接受治疗的所有晚期nccRCC患者的回顾性数据。我们根据组织学亚型和全身治疗类型比较了总缓解率(ORR)、无进展生存期(PFS)和总生存期(OS)。采用Kaplan-Meier法、对数秩检验和Cox回归来估计和比较PFS和OS。

结果

在1370例肾细胞癌患者中,289例被诊断为nccRCC,121例符合分析条件。53例患者表现为乳头状组织学(pRCC),15例为嫌色细胞癌;37例为未分类肾细胞癌(NOS-RCC),16例为其他组织学类型。与pRCC和NOS-RCC相比,嫌色细胞癌和其他组织学类型的患者生存率较差(中位OS 10.7对20.7对30.7,P = 0.34)。与接受单药治疗的患者相比,接受联合治疗方案的患者OS更好(30.7对13.7,P = 0.10),PFS更好(12.7对6.4,P = 0.10),ORR更高(42.4%对13.9%,P = 0.002)。IMDC和Meet-URO评分保留了其预后价值。

结论

我们对晚期nccRCC患者的回顾性真实世界队列研究表明,与TKI单药治疗相比,基于免疫疗法的联合治疗可改善ORR、PFS和OS。利用新型疗法对nccRCC患者进行的前瞻性试验正在进行中,人们急切期待其结果。

https://cdn.ncbi.nlm.nih.gov/pmc/blobs/1184/10487077/36d53c904b74/cancers-15-04353-g001.jpg

文献检索

告别复杂PubMed语法,用中文像聊天一样搜索,搜遍4000万医学文献。AI智能推荐,让科研检索更轻松。

立即免费搜索

文件翻译

保留排版,准确专业,支持PDF/Word/PPT等文件格式,支持 12+语言互译。

免费翻译文档

深度研究

AI帮你快速写综述,25分钟生成高质量综述,智能提取关键信息,辅助科研写作。

立即免费体验