Zhang Qiang, Zhang Lin-Yan, Shi Xian-Ying
Shaanxi Key Laboratory of Catalysis, School of Chemistry and Environmental Science, Shaanxi University of Technology, Hanzhong 723001, China.
Key Laboratory of Syngas Conversion of Shaanxi Province, Key Laboratory for Macromolecular Science of Shaanxi Province, School of Chemistry & Chemical Engineering, Shaanxi Normal University, Xi'an 710062, China.
Molecules. 2023 Aug 29;28(17):6319. doi: 10.3390/molecules28176319.
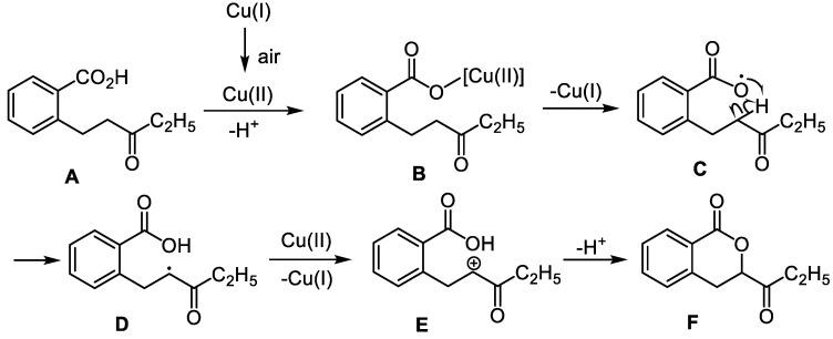
Isocoumarins and dihydroisocoumarins are important skeletons with a wide range of biological activities, such as anti-bacterial, anti-allergy, anti-fungal, anti-tumor, and anti-HIV properties. Herein, we demonstrated divergent syntheses of isocoumarins and 3,4-dihydroisocoumarins by intramolecular dehydrogenative cyclization of 2-(3-oxobutyl) benzoic acids. This transformation undergoes C-H bonds and O-H bonds coupling in air using copper salt. The reactions may undergo free radical process.
异香豆素和二氢异香豆素是具有广泛生物活性的重要骨架,如抗菌、抗过敏、抗真菌、抗肿瘤和抗HIV特性。在此,我们展示了通过2-(3-氧代丁基)苯甲酸的分子内脱氢环化反应来实现异香豆素和3,4-二氢异香豆素的不同合成。该转化反应在空气中使用铜盐进行C-H键和O-H键的偶联。这些反应可能经历自由基过程。