Suppr超能文献

尼龙-聚乙烯袋状废弃物共热解的动力学和热力学分析

Kinetic and Thermodynamic Analyses of Co-Pyrolysis of Nylon-Polyethylene Pouch Wastes.

作者信息

Wan Hai-Bo, Huang Zhen

机构信息

Tianjin University of Commerce, Tianjin 300134, China.

出版信息

Materials (Basel). 2023 Aug 22;16(17):5738. doi: 10.3390/ma16175738.

Abstract

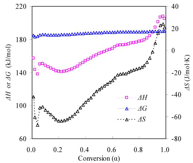
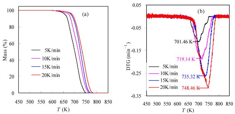
In this study, thermogravimetric measurements of nylon-6/polyethylene double-layer pouch wastes were conducted in N under a constant heating-rate mode, and the multiple heating-rate results were analyzed in terms of degradation features and specific temperatures. Experimental results show that the waste pyrolysis involves one reaction stage, and all specific parameters appear to increase with the heating rate. Kinetic analysis of non-isothermal data was thoroughly performed using various isoconversional model-free methods for the calculations of the activation energy, resulting in 143~215 kJ/mol over the whole pyrolysis process. By means of the model-fitting method, the reaction mechanism model () and pre-exponential factor ln are concurrently determined with the aid of the linear compensation effect. With such methodology proposed, the Avrami-Erofeev kinetic model A of () = [-ln(1 - )] is found to be the most appropriate mechanism function for describing the pyrolysis of the nylon-6/polyethylene waste along with ln of 23.14 to 34.26 min. With the Arrhenius parameters thus obtained, the predictions were made and performed very satisfactorily to correlate experimental results. Additionally, the service life and thermodynamic parameters over the entire pyrolysis process were also estimated.

摘要

在本研究中,在氮气氛围下以恒定升温速率模式对尼龙6/聚乙烯双层软包装袋废料进行了热重测量,并根据降解特征和特定温度对多个升温速率的结果进行了分析。实验结果表明,废料热解涉及一个反应阶段,所有特定参数似乎都随升温速率的增加而增大。使用各种无模型等转化率方法对非等温数据进行了深入的动力学分析,以计算活化能,整个热解过程中的活化能为143~215 kJ/mol。通过模型拟合方法,借助线性补偿效应同时确定了反应机理模型()和指前因子ln。采用所提出的这种方法,发现() = [-ln(1 - )]的Avrami-Erofeev动力学模型A是描述尼龙6/聚乙烯废料热解最合适的机理函数,其ln为23.14至34.26 min。利用由此获得的阿伦尼乌斯参数进行了预测,预测结果与实验结果的相关性非常令人满意。此外,还估算了整个热解过程的使用寿命和热力学参数。

https://cdn.ncbi.nlm.nih.gov/pmc/blobs/7f0f/10488972/30ef6f165630/materials-16-05738-g001.jpg

文献AI研究员

20分钟写一篇综述,助力文献阅读效率提升50倍。

立即体验

用中文搜PubMed

大模型驱动的PubMed中文搜索引擎

马上搜索

文档翻译

学术文献翻译模型,支持多种主流文档格式。

立即体验