• 文献检索
  • 文档翻译
  • 深度研究
  • 学术资讯
  • Suppr Zotero 插件Zotero 插件
  • 邀请有礼
  • 套餐&价格
  • 历史记录
应用&插件
Suppr Zotero 插件Zotero 插件浏览器插件Mac 客户端Windows 客户端微信小程序
定价
高级版会员购买积分包购买API积分包
服务
文献检索文档翻译深度研究API 文档MCP 服务
关于我们
关于 Suppr公司介绍联系我们用户协议隐私条款
关注我们

Suppr 超能文献

核心技术专利:CN118964589B侵权必究
粤ICP备2023148730 号-1Suppr @ 2026

文献检索

告别复杂PubMed语法,用中文像聊天一样搜索,搜遍4000万医学文献。AI智能推荐,让科研检索更轻松。

立即免费搜索

文件翻译

保留排版,准确专业,支持PDF/Word/PPT等文件格式,支持 12+语言互译。

免费翻译文档

深度研究

AI帮你快速写综述,25分钟生成高质量综述,智能提取关键信息,辅助科研写作。

立即免费体验

用于研究肿瘤细胞中多药耐药性P-糖蛋白(P-gp)表达的化学生物学荧光工具。

Chemical biology fluorescent tools for investigation of the multidrug resistant P-glycoprotein (P-gp) expression in tumor cells.

作者信息

Daumar Pierre, Goisnard Antoine, Dubois Clémence, Roux Manon, Depresle Marie, Penault-Llorca Frédérique, Bamdad Mahchid, Mounetou Emmanuelle

机构信息

Université Clermont Auvergne, Institut Universitaire de Technologie, UMR INSERM-UCA, U1240, Imagerie Moléculaire et Stratégies Théranostiques (IMoST) F-63000 Clermont-Ferrand France

BIOMARQUEURS Company 5 avenue Blaise Pascal 63178 Aubière France.

出版信息

RSC Adv. 2023 Sep 8;13(39):27016-27035. doi: 10.1039/d3ra05093a.

DOI:10.1039/d3ra05093a
PMID:37693089
原文链接:https://pmc.ncbi.nlm.nih.gov/articles/PMC10490555/
Abstract

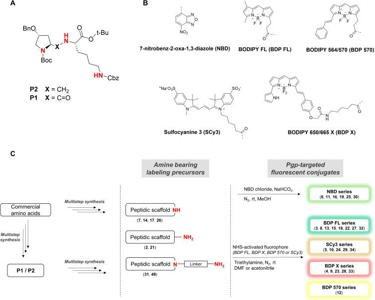
Selective P-glycoprotein (P-gp)-targeted fluorescent conjugates are desirable tools to investigate the role of P-gp, a protein strongly implicated in mediating multidrug resistance and a major cause of chemotherapy failure. Herein, we report the development of 25 novel fluorescent small-molecule conjugates with varying physicochemical and optical properties, and their biological evaluation in a cell model as P-gp targeted constructs. This investigation revealed relationships between molecular structure and cell behavior and uncovered the capacity of conjugates with varying fluorophores to selectively target P-gp. Sulfocyanine 3 labeled conjugates (5, 10, 24, 29, 34) showed a particular intracellular staining pattern. Other conjugates bearing a boron dipyrromethene (BODIPY) core (3, 8, 13, 22, 27 (BODIPY FL), 12 (BODIPY 564/570) and 4, 9 (BODIPY 650/665)) or a 7-nitrobenz-2-oxa-1,3-diazole (NBD) core (11, 30) showed potential for global P-gp direct detection and quantification. These fluorescent conjugates holds key advantages over existing methods for drug resistance evaluation with regards to P-gp expression and could be used as innovative tools in preclinical assays and clinical diagnosis.

摘要

选择性P-糖蛋白(P-gp)靶向荧光缀合物是研究P-gp作用的理想工具,P-gp是一种与介导多药耐药密切相关且是化疗失败的主要原因的蛋白质。在此,我们报告了25种具有不同物理化学和光学性质的新型荧光小分子缀合物的开发,以及它们在细胞模型中作为P-gp靶向构建体的生物学评价。这项研究揭示了分子结构与细胞行为之间的关系,并发现了具有不同荧光团的缀合物选择性靶向P-gp的能力。磺基氰化物3标记的缀合物(5、10、24、29、34)显示出特定的细胞内染色模式。其他带有硼二吡咯亚甲基(BODIPY)核心(3、8、13、22、27(BODIPY FL)、12(BODIPY 564/570))或7-硝基苯并-2-恶唑-1,3-二唑(NBD)核心(11、30)的缀合物显示出直接检测和定量整体P-gp的潜力。这些荧光缀合物在P-gp表达的耐药性评估方面比现有方法具有关键优势,可作为临床前检测和临床诊断中的创新工具。

https://cdn.ncbi.nlm.nih.gov/pmc/blobs/e365/10490555/0cf383678e82/d3ra05093a-f7.jpg
https://cdn.ncbi.nlm.nih.gov/pmc/blobs/e365/10490555/098f09ac4775/d3ra05093a-f1.jpg
https://cdn.ncbi.nlm.nih.gov/pmc/blobs/e365/10490555/4eaf8965c0a3/d3ra05093a-s1.jpg
https://cdn.ncbi.nlm.nih.gov/pmc/blobs/e365/10490555/6e6ce6e60414/d3ra05093a-s2.jpg
https://cdn.ncbi.nlm.nih.gov/pmc/blobs/e365/10490555/0bbf59a046c3/d3ra05093a-s3.jpg
https://cdn.ncbi.nlm.nih.gov/pmc/blobs/e365/10490555/6080a6754443/d3ra05093a-s4.jpg
https://cdn.ncbi.nlm.nih.gov/pmc/blobs/e365/10490555/51258fbb8200/d3ra05093a-f2.jpg
https://cdn.ncbi.nlm.nih.gov/pmc/blobs/e365/10490555/ccd2997615d5/d3ra05093a-f3.jpg
https://cdn.ncbi.nlm.nih.gov/pmc/blobs/e365/10490555/2dd48bb663b8/d3ra05093a-f4.jpg
https://cdn.ncbi.nlm.nih.gov/pmc/blobs/e365/10490555/5b8a1eff435a/d3ra05093a-f5.jpg
https://cdn.ncbi.nlm.nih.gov/pmc/blobs/e365/10490555/25582f7df8bd/d3ra05093a-f6.jpg
https://cdn.ncbi.nlm.nih.gov/pmc/blobs/e365/10490555/0cf383678e82/d3ra05093a-f7.jpg
https://cdn.ncbi.nlm.nih.gov/pmc/blobs/e365/10490555/098f09ac4775/d3ra05093a-f1.jpg
https://cdn.ncbi.nlm.nih.gov/pmc/blobs/e365/10490555/4eaf8965c0a3/d3ra05093a-s1.jpg
https://cdn.ncbi.nlm.nih.gov/pmc/blobs/e365/10490555/6e6ce6e60414/d3ra05093a-s2.jpg
https://cdn.ncbi.nlm.nih.gov/pmc/blobs/e365/10490555/0bbf59a046c3/d3ra05093a-s3.jpg
https://cdn.ncbi.nlm.nih.gov/pmc/blobs/e365/10490555/6080a6754443/d3ra05093a-s4.jpg
https://cdn.ncbi.nlm.nih.gov/pmc/blobs/e365/10490555/51258fbb8200/d3ra05093a-f2.jpg
https://cdn.ncbi.nlm.nih.gov/pmc/blobs/e365/10490555/ccd2997615d5/d3ra05093a-f3.jpg
https://cdn.ncbi.nlm.nih.gov/pmc/blobs/e365/10490555/2dd48bb663b8/d3ra05093a-f4.jpg
https://cdn.ncbi.nlm.nih.gov/pmc/blobs/e365/10490555/5b8a1eff435a/d3ra05093a-f5.jpg
https://cdn.ncbi.nlm.nih.gov/pmc/blobs/e365/10490555/25582f7df8bd/d3ra05093a-f6.jpg
https://cdn.ncbi.nlm.nih.gov/pmc/blobs/e365/10490555/0cf383678e82/d3ra05093a-f7.jpg

相似文献

1
Chemical biology fluorescent tools for investigation of the multidrug resistant P-glycoprotein (P-gp) expression in tumor cells.用于研究肿瘤细胞中多药耐药性P-糖蛋白(P-gp)表达的化学生物学荧光工具。
RSC Adv. 2023 Sep 8;13(39):27016-27035. doi: 10.1039/d3ra05093a.
2
Synthesis and Characterization of Bodipy-FL-Cyclosporine A as a Substrate for Multidrug Resistance-Linked P-Glycoprotein (ABCB1).Bodipy-FL-环孢菌素 A 的合成与表征及其作为多药耐药相关 P-糖蛋白(ABCB1)的底物。
Drug Metab Dispos. 2019 Oct;47(10):1013-1023. doi: 10.1124/dmd.119.087734. Epub 2019 Aug 1.
3
The fluorescent probe Bodipy-FL-verapamil is a substrate for both P-glycoprotein and multidrug resistance-related protein (MRP)-1.荧光探针Bodipy-FL-维拉帕米是P-糖蛋白和多药耐药相关蛋白1(MRP-1)的底物。
J Histochem Cytochem. 2002 May;50(5):731-4. doi: 10.1177/002215540205000514.
4
LightSpot-FL-1 Fluorescent Probe: An Innovative Tool for Cancer Drug Resistance Analysis by Direct Detection and Quantification of the P-glycoprotein (P-gp) on Monolayer Culture and Spheroid Triple Negative Breast Cancer Models.LightSpot-FL-1荧光探针:一种通过直接检测和定量单层培养及球体三阴性乳腺癌模型上的P-糖蛋白(P-gp)来分析癌症耐药性的创新工具。
Cancers (Basel). 2021 Aug 11;13(16):4050. doi: 10.3390/cancers13164050.
5
Fluorescent phosphonate labels for serine hydrolases. Kinetic and spectroscopic properties of (7-nitrobenz-2-oxa-1,3-diazole)aminoalkyl methylphosphonofluoridates and their conjugates with acetylcholinesterase molecular forms.用于丝氨酸水解酶的荧光膦酸酯标记物。(7-硝基苯并-2-恶唑-1,3-二氮杂环戊二烯)氨基烷基甲基膦酰氟及其与乙酰胆碱酯酶分子形式的缀合物的动力学和光谱性质。
J Biol Chem. 1985 Mar 25;260(6):3462-8.
6
Fluorescent BODIPY-Anionic Boron Cluster Conjugates as Potential Agents for Cell Tracking.荧光 BODIPY-阴离子硼簇缀合物作为细胞示踪的潜在试剂。
Bioconjug Chem. 2018 May 16;29(5):1763-1773. doi: 10.1021/acs.bioconjchem.8b00204. Epub 2018 Apr 25.
7
Global alteration of the drug-binding pocket of human P-glycoprotein (ABCB1) by substitution of fifteen conserved residues reveals a negative correlation between substrate size and transport efficiency.通过替换15个保守残基对人P-糖蛋白(ABCB1)的药物结合口袋进行全局改变,揭示了底物大小与转运效率之间的负相关。
Biochem Pharmacol. 2017 Nov 1;143:53-64. doi: 10.1016/j.bcp.2017.07.014. Epub 2017 Jul 17.
8
Labeling membranes with fluorescent phosphatidylethanolamine.用荧光磷脂酰乙醇胺标记膜。
Cold Spring Harb Protoc. 2011 May 1;2011(5):pdb.prot5621. doi: 10.1101/pdb.prot5621.
9
Evidence for the Interaction of A Adenosine Receptor Agonists at the Drug-Binding Site(s) of Human P-glycoprotein (ABCB1).人 P-糖蛋白(ABCB1)药物结合部位(s)上 A 腺苷受体激动剂相互作用的证据。
Mol Pharmacol. 2019 Aug;96(2):180-192. doi: 10.1124/mol.118.115295. Epub 2019 May 24.
10
Overcoming multidrug resistance in Dox-resistant neuroblastoma cell lines via treatment with HPMA copolymer conjugates containing anthracyclines and P-gp inhibitors.通过使用含有蒽环类药物和 P-糖蛋白抑制剂的 HPMA 共聚物缀合物治疗多柔比星耐药神经母细胞瘤细胞系来克服多药耐药性。
J Control Release. 2016 Jul 10;233:136-46. doi: 10.1016/j.jconrel.2016.05.036. Epub 2016 May 14.

引用本文的文献

1
LightSpot Fluorescent Conjugates as Highly Efficient Tools for Lysosomal P-gp Quantification in Olaparib-Treated Triple-Negative Breast Cancer Cells.LightSpot荧光偶联物作为奥拉帕利治疗的三阴性乳腺癌细胞中溶酶体P-糖蛋白定量的高效工具。
Int J Mol Sci. 2025 Jul 11;26(14):6675. doi: 10.3390/ijms26146675.
2
P-gp quantification for cell resistance studies in leukemia cells using the innovative LightSpot-FL-1 fluorescent conjugate.使用创新的LightSpot-FL-1荧光偶联物对白血病细胞进行细胞抗性研究时的P-糖蛋白定量分析。
Sci Rep. 2025 May 25;15(1):18173. doi: 10.1038/s41598-025-03370-4.

本文引用的文献

1
Optimization of Peptide Linker-Based Fluorescent Ligands for the Histamine H Receptor.基于肽键的荧光配体对组胺 H 受体的优化。
J Med Chem. 2022 Jun 23;65(12):8258-8288. doi: 10.1021/acs.jmedchem.2c00125. Epub 2022 Jun 3.
2
Is P-Glycoprotein Functionally Expressed in the Limiting Membrane of Endolysosomes? A Biochemical and Ultrastructural Study in the Rat Liver.P-糖蛋白在内涵体溶酶体的限制膜上是否有功能表达?大鼠肝的生化和超微结构研究。
Cells. 2022 May 5;11(9):1556. doi: 10.3390/cells11091556.
3
Small-molecule fluorescent probes and their design.
小分子荧光探针及其设计。
RSC Adv. 2018 Aug 14;8(51):29051-29061. doi: 10.1039/c8ra02297f.
4
Nitrobenzoxadiazole derivatives of the rat selective toxicant norbormide as fluorescent probes for live cell imaging.大鼠选择性毒物鼠特灵的硝基苯并二唑衍生物作为活细胞成像的荧光探针。
Bioorg Med Chem. 2022 Apr 1;59:116670. doi: 10.1016/j.bmc.2022.116670. Epub 2022 Feb 17.
5
Characterization and tissue localization of zebrafish homologs of the human ABCB1 multidrug transporter.人 ABCB1 多药转运蛋白的斑马鱼同源物的鉴定和组织定位。
Sci Rep. 2021 Dec 17;11(1):24150. doi: 10.1038/s41598-021-03500-8.
6
LightSpot-FL-1 Fluorescent Probe: An Innovative Tool for Cancer Drug Resistance Analysis by Direct Detection and Quantification of the P-glycoprotein (P-gp) on Monolayer Culture and Spheroid Triple Negative Breast Cancer Models.LightSpot-FL-1荧光探针:一种通过直接检测和定量单层培养及球体三阴性乳腺癌模型上的P-糖蛋白(P-gp)来分析癌症耐药性的创新工具。
Cancers (Basel). 2021 Aug 11;13(16):4050. doi: 10.3390/cancers13164050.
7
Quantification of P-Glycoprotein in the Gastrointestinal Tract of Humans and Rodents: Methodology, Gut Region, Sex, and Species Matter.人及啮齿类动物胃肠道 P 糖蛋白的定量:方法学、肠道区域、性别和物种很重要。
Mol Pharm. 2021 May 3;18(5):1895-1904. doi: 10.1021/acs.molpharmaceut.0c00574. Epub 2021 Apr 22.
8
Friend or foe: ABCG2, ABCC1 and ABCB1 expression in triple-negative breast cancer.敌友难分:三阴性乳腺癌中 ABCG2、ABCC1 和 ABCB1 的表达。
Breast Cancer. 2021 May;28(3):727-736. doi: 10.1007/s12282-020-01210-z. Epub 2021 Jan 8.
9
Rational design of small molecule fluorescent probes for biological applications.用于生物应用的小分子荧光探针的合理设计。
Org Biomol Chem. 2020 Aug 5;18(30):5747-5763. doi: 10.1039/d0ob01131b.
10
Multidrug transporters: recent insights from cryo-electron microscopy-derived atomic structures and animal models.多药转运蛋白:来自冷冻电子显微镜衍生的原子结构和动物模型的最新见解
F1000Res. 2020 Jan 13;9. doi: 10.12688/f1000research.21295.1. eCollection 2020.