Suppr超能文献

基于污水污泥热解液化研究构建生物质成分相互作用模型。

The construction of a biomass component interaction model based on research into the hydrothermal liquefaction of sewage sludge.

作者信息

Zhao Lei, Xie Longfei, Gou Le, Dai Liyi, Wang Yuanyuan

机构信息

Shanghai Key Laboratory of Green Chemistry and Chemical Processes, School of Chemistry and Molecular Engineering, East China Normal University Shanghai 200062 China

State Key Laboratory of Petroleum Molecular and Process Engineering, SKLPMPE, Sinopec Research Institute of Petroleum Processing Co., LTD. Beijing 100083 China.

出版信息

RSC Adv. 2023 Sep 11;13(39):27116-27124. doi: 10.1039/d3ra03809b. eCollection 2023 Sep 8.

Abstract

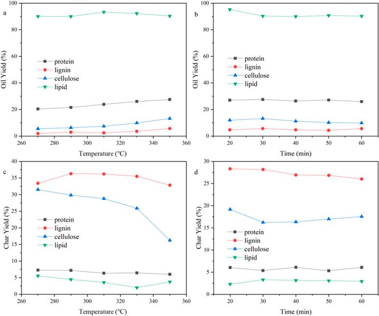
Sewage sludge (SS), a hazardous solid waste with a high water and pollutant content, should be disposed of correctly. Hydrothermal liquefaction (HTL) shows tremendous potential to treat organic matter with substantial water content like SS. In this paper, we examined the impact of key factors on the characteristics and yield of bio-oil during HTL of SS. We clarified the impacts of each component on the yield through model compounds based on that and constructed a component additivity model for forecasting the bio-oil yield from biomass with complex component composition. In the reactions of the model compounds, cellulose showed synergistic interaction with protein and alkali lignin in the bio-oil yield but lipids showed antagonistic effects with protein and alkaline lignin. The co-HTL results of these binary mixtures improved our model and further clarified the reaction mechanism of HTL of SS.

摘要

污水污泥(SS)是一种含水量和污染物含量高的危险固体废物,应正确处置。水热液化(HTL)在处理像SS这样含水量高的有机物质方面显示出巨大潜力。在本文中,我们研究了关键因素对SS水热液化过程中生物油特性和产率的影响。在此基础上,通过模型化合物阐明了各组分对产率的影响,并构建了一个组分加和模型,用于预测具有复杂组分组成的生物质的生物油产率。在模型化合物的反应中,纤维素在生物油产率方面与蛋白质和碱木质素表现出协同作用,而脂质与蛋白质和碱性木质素表现出拮抗作用。这些二元混合物的共水热液化结果改进了我们的模型,并进一步阐明了SS水热液化的反应机理。

https://cdn.ncbi.nlm.nih.gov/pmc/blobs/49c1/10493569/8737bcc5e1a3/d3ra03809b-f1.jpg

文献检索

告别复杂PubMed语法,用中文像聊天一样搜索,搜遍4000万医学文献。AI智能推荐,让科研检索更轻松。

立即免费搜索

文件翻译

保留排版,准确专业,支持PDF/Word/PPT等文件格式,支持 12+语言互译。

免费翻译文档

深度研究

AI帮你快速写综述,25分钟生成高质量综述,智能提取关键信息,辅助科研写作。

立即免费体验