Suppr超能文献

18 个月大婴儿在包含睡眠的一段时间内,非相邻依赖关系的保持和泛化的发展变化。

Developmental changes in retention and generalization of nonadjacent dependencies over a period containing sleep in 18-mo-old infants.

机构信息

Department of Psychology, the University of Arizona, Tucson, Arizona 85721, USA.

Department of Psychology, the University of Arizona, Tucson, Arizona 85721, USA

出版信息

Learn Mem. 2023 Sep 19;30(9):212-220. doi: 10.1101/lm.053772.123. Print 2023 Sep.

Abstract

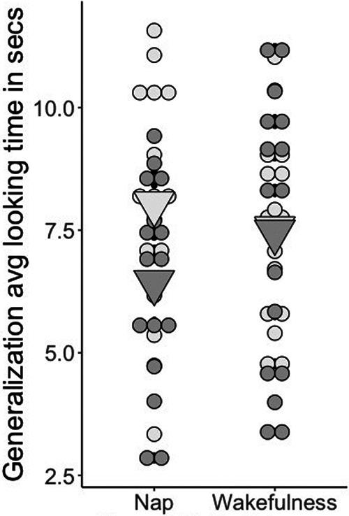
Sleep promotes the stabilization of memories in adulthood, with a growing literature on the benefits of sleep for memory in infants and children. In two studies, we examined the role of sleep in the retention and generalization of nonadjacent dependencies (NADs; e.g., a-X-b/c-X-d phrases) in an artificial language. Previously, a study demonstrated that over a delay of 4 h, 15 mo olds who nap after training retain a general memory of the NAD rule instead of memory for specific NADs heard during training. In experiment 1, we designed a replication of the nap condition used in the earlier study but tested 18-mo-old infants. Infants of this age retained veridical memory for specific NADs over a delay containing sleep, providing preliminary evidence of the development of memory processes (experiment 1). In experiment 2, we tested 18 mo olds' ability to generalize the NAD to new vocabulary, finding only infants who napped after training generalized their knowledge of the pattern to completely novel phrases. Overall, by 18 mo of age, children retain specific memories over a period containing sleep, and sleep promotes abstract memories to a greater extent than wakefulness.

摘要

睡眠促进成年人大脑记忆的稳定,越来越多的文献研究表明,婴儿和儿童的睡眠对记忆有益。在两项研究中,我们研究了睡眠在人工语言中非相邻依赖关系(NAD;例如,a-X-b/c-X-d 短语)的保留和泛化中的作用。之前的一项研究表明,在 4 小时的延迟后,15 个月大的午睡婴儿在训练后保留了 NAD 规则的一般记忆,而不是记忆训练中听到的特定 NAD。在实验 1 中,我们设计了对早期研究中使用的午睡条件的重复,但测试了 18 个月大的婴儿。这个年龄段的婴儿在包含睡眠的延迟中保留了特定 NAD 的真实记忆,为记忆过程的发展提供了初步证据(实验 1)。在实验 2 中,我们测试了 18 个月大的婴儿将 NAD 泛化到新词汇的能力,结果发现只有在训练后午睡的婴儿才将他们对模式的知识泛化到全新的短语中。总的来说,到 18 个月大时,儿童在包含睡眠的时间段内保留特定记忆,而睡眠比清醒状态更能促进抽象记忆。

https://cdn.ncbi.nlm.nih.gov/pmc/blobs/4550/10547371/50ba8c8e5bbc/LM053772Swe_F1.jpg

文献检索

告别复杂PubMed语法,用中文像聊天一样搜索,搜遍4000万医学文献。AI智能推荐,让科研检索更轻松。

立即免费搜索

文件翻译

保留排版,准确专业,支持PDF/Word/PPT等文件格式,支持 12+语言互译。

免费翻译文档

深度研究

AI帮你快速写综述,25分钟生成高质量综述,智能提取关键信息,辅助科研写作。

立即免费体验