Suppr超能文献

发育正常的癫痫儿童及其兄弟姐妹的生活质量。

Quality of Life of Developmentally Normal Children With Epilepsy and Their Siblings.

作者信息

Navik Abhishek, Aggarwal Anju, Singh Aaradhana, Malhotra Rajeev Kumar

机构信息

Pediatrics, University College of Medical Sciences and Guru Tegh Bahadur Hospital, New Delhi, IND.

Statistics, All India Institute of Medical Sciences, New Delhi, IND.

出版信息

Cureus. 2023 Aug 24;15(8):e44067. doi: 10.7759/cureus.44067. eCollection 2023 Aug.

Abstract

BACKGROUND

Quality of life (QOL) is a fundamental and multidimensional concept that should be considered with health problems, specifically chronic diseases, such as epilepsy. There have been limited studies on how pediatric epilepsy impacts the QOL of siblings of affected individuals. Hence, we studied the impact of epilepsy on the QOL of affected children and their siblings.

OBJECTIVE

This study aimed to assess the QOL of developmentally normal children with epilepsy and their siblings and the association of QOL scores with the clinicodemographic profile.

METHODS

This study was conducted at the University College of Medical Sciences and Guru Tegh Bahadur Hospital, New Delhi, India, a tertiary care hospital. The QOL of children (4-12 years) with epilepsy was assessed using epilepsy-specific questionnaires, i.e., Quality of Life in Childhood Epilepsy Questionnaire-55 (QOLCE-55), which covers the cognitive, emotional, social, and physical domains, and Pediatric Quality of Life Epilepsy Module (Peds QL EM), which covers the impact, cognitive, sleep, executive, and mood/ behavior domains. QOL in siblings was assessed using the Peds QL Inventory, which covers the following domains: physical, emotional, social, and school. The principal investigator administered these questionnaires to parents in Hindi/ English. Scoring was done as per standard instructions of the questionnaire. Clinical and demographic data were recorded in a pro forma.

RESULT

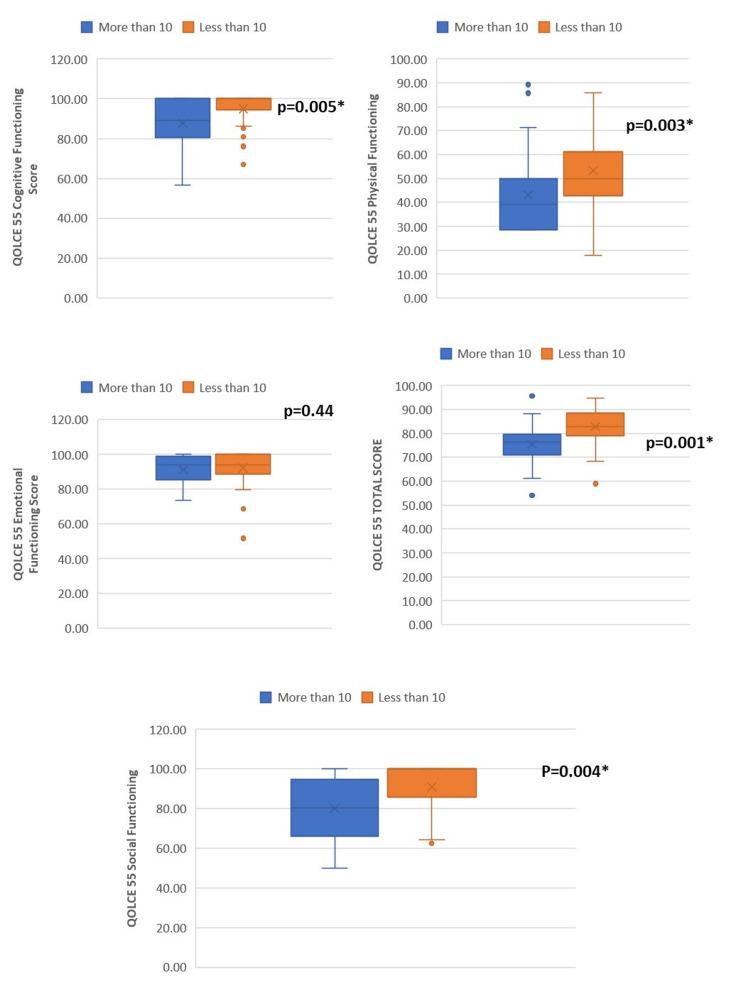
The median QOLCE-55 score was 81.12, with a range of 74.65-86.34, and the median Peds QL EM score was 89.31, with a range of 75.58-94.48. Overall, Cronbach's alpha of QOLCE-55 and Peds QL EM was >0.8. Breakthrough seizures (≥10) affected the overall QOL (p=0.001) and all domains of QOLCE-55 (except emotional function (p=0.44)) and Peds QL EM (except sleep/fatigue domain (p=0.59)). Age, sex, parental education, socioeconomic status, and type of epilepsy did not affect the overall QOL (p>0.05). The QOL of siblings was not affected as per the Peds QL Inventory score (median score 100) and self-made questionnaire.

CONCLUSION

Our results suggest that the QOL of children with epilepsy was compromised, whereas the QOL of their siblings was not affected.

摘要

背景

生活质量(QOL)是一个基本的多维度概念,在探讨健康问题,特别是诸如癫痫等慢性病时应予以考虑。关于小儿癫痫如何影响患病个体兄弟姐妹的生活质量的研究有限。因此,我们研究了癫痫对患病儿童及其兄弟姐妹生活质量的影响。

目的

本研究旨在评估发育正常的癫痫儿童及其兄弟姐妹的生活质量,以及生活质量得分与临床人口统计学特征的关联。

方法

本研究在印度新德里大学医学院和古鲁·特格·巴哈杜尔医院进行,这是一家三级护理医院。使用特定于癫痫的问卷对4至12岁癫痫儿童的生活质量进行评估,即儿童癫痫生活质量问卷 - 55(QOLCE - 55),其涵盖认知、情感、社会和身体领域;以及儿童癫痫生活质量模块(Peds QL EM),其涵盖影响、认知、睡眠、执行和情绪/行为领域。使用儿童生活质量量表(Peds QL Inventory)评估兄弟姐妹的生活质量,该量表涵盖以下领域:身体、情感、社会和学校。主要研究者用印地语/英语向家长发放这些问卷。按照问卷的标准说明进行评分。临床和人口统计学数据记录在一份表格中。

结果

QOLCE - 55的中位数得分为81.12,范围为74.65 - 86.34,Peds QL EM的中位数得分为89.31,范围为75.58 - 94.48。总体而言,QOLCE - 55和Peds QL EM的Cronbach's alpha系数>0.8。突破性癫痫发作(≥10次)影响总体生活质量(p = 0.001)以及QOLCE - 55的所有领域(情感功能领域除外(p = 0.44))和Peds QL EM的所有领域(睡眠/疲劳领域除外(p = 0.59))。年龄、性别、父母教育程度、社会经济地位和癫痫类型均未影响总体生活质量(p>0.05)。根据儿童生活质量量表得分(中位数为100)和自制问卷,兄弟姐妹的生活质量未受影响。

结论

我们的结果表明,癫痫儿童的生活质量受到损害,而其兄弟姐妹的生活质量未受影响。

https://cdn.ncbi.nlm.nih.gov/pmc/blobs/21a1/10518430/69a5cbee8a2d/cureus-0015-00000044067-i01.jpg

文献AI研究员

20分钟写一篇综述,助力文献阅读效率提升50倍。

立即体验

用中文搜PubMed

大模型驱动的PubMed中文搜索引擎

马上搜索

文档翻译

学术文献翻译模型,支持多种主流文档格式。

立即体验