Suppr超能文献

利用脚垫雕刻提升机器人马兰戈尼冲浪者的机动性和速度。

Using Footpad Sculpturing to Enhance the Maneuverability and Speed of a Robotic Marangoni Surfer.

作者信息

Bechard Samuel, Timm Mitchel L, Masoud Hassan, Rothstein Jonathan P

机构信息

Department of Mechanical and Industrial Engineering, University of Massachusetts, Amherst, MA 01003, USA.

Department of Mechanical Engineering-Engineering Mechanics, Michigan Technological University, Houghton, MI 49931, USA.

出版信息

Biomimetics (Basel). 2023 Sep 20;8(5):440. doi: 10.3390/biomimetics8050440.

Abstract

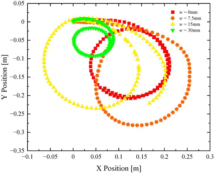
From insects to arachnids to bacteria, the surfaces of lakes and ponds are teaming with life. Many modes of locomotion are employed by these organisms to navigate along the air-water interface, including the use of lipid-laden excretions that can locally change the surface tension of the water and induce a Marangoni flow. In this paper, we improved the speed and maneuverability of a miniature remote-controlled robot that mimics insect locomotion using an onboard tank of isopropyl alcohol and a series of servomotors to control both the rate and location of alcohol release to both propel and steer the robot across the water. Here, we studied the effect of a series of design changes to the foam rubber footpads, which float the robot and are integral in efficiently converting the alcohol-induced surface tension gradients into propulsive forces and effective maneuvering. Two designs were studied: a two-footpad design and a single-footpad design. In the case of two footpads, the gap between the two footpads was varied to investigate its impact on straight-line speed, propulsion efficiency, and maneuverability. An optimal design was found with a small but finite gap between the two pads of 7.5 mm. In the second design, a single footpad without a central gap was studied. This footpad had a rectangular cut-out in the rear to capture the alcohol. Footpads with wider and shallower cut-outs were found to optimize efficiency. This observation was reinforced by the predictions of a simple theoretical mechanical model. Overall, the optimized single-footpad robot outperformed the two-footpad robot, producing a 30% improvement in speed and a 400% improvement in maneuverability.

摘要

从昆虫到蛛形纲动物再到细菌,湖泊和池塘的表面充满了生命。这些生物采用多种运动方式在空气 - 水界面上移动,包括利用富含脂质的排泄物,这些排泄物可以局部改变水的表面张力并引发马兰戈尼流。在本文中,我们改进了一种模仿昆虫运动的微型遥控机器人的速度和机动性,该机器人使用车载异丙醇罐和一系列伺服电机来控制酒精释放的速率和位置,从而推动和引导机器人在水面上移动。在此,我们研究了对泡沫橡胶脚垫进行一系列设计更改的效果,这些脚垫使机器人漂浮,并在有效地将酒精引起的表面张力梯度转化为推进力和有效机动性方面起着不可或缺的作用。研究了两种设计:双脚垫设计和单脚垫设计。对于双脚垫的情况,改变两个脚垫之间的间隙以研究其对直线速度、推进效率和机动性的影响。发现当两个脚垫之间的间隙为7.5毫米时,存在一个最佳设计。在第二种设计中,研究了一种没有中央间隙的单脚垫。这个脚垫在后部有一个矩形切口以收集酒精。发现切口更宽且更浅的脚垫能优化效率。一个简单的理论力学模型的预测强化了这一观察结果。总体而言,优化后的单脚垫机器人性能优于双脚垫机器人,速度提高了30%,机动性提高了400%。

https://cdn.ncbi.nlm.nih.gov/pmc/blobs/2a00/10527320/03f18ff9930f/biomimetics-08-00440-g003.jpg

文献检索

告别复杂PubMed语法,用中文像聊天一样搜索,搜遍4000万医学文献。AI智能推荐,让科研检索更轻松。

立即免费搜索

文件翻译

保留排版,准确专业,支持PDF/Word/PPT等文件格式,支持 12+语言互译。

免费翻译文档

深度研究

AI帮你快速写综述,25分钟生成高质量综述,智能提取关键信息,辅助科研写作。

立即免费体验