• 文献检索
  • 文档翻译
  • 深度研究
  • 学术资讯
  • Suppr Zotero 插件Zotero 插件
  • 邀请有礼
  • 套餐&价格
  • 历史记录
应用&插件
Suppr Zotero 插件Zotero 插件浏览器插件Mac 客户端Windows 客户端微信小程序
定价
高级版会员购买积分包购买API积分包
服务
文献检索文档翻译深度研究API 文档MCP 服务
关于我们
关于 Suppr公司介绍联系我们用户协议隐私条款
关注我们

Suppr 超能文献

核心技术专利:CN118964589B侵权必究
粤ICP备2023148730 号-1Suppr @ 2026

文献检索

告别复杂PubMed语法,用中文像聊天一样搜索,搜遍4000万医学文献。AI智能推荐,让科研检索更轻松。

立即免费搜索

文件翻译

保留排版,准确专业,支持PDF/Word/PPT等文件格式,支持 12+语言互译。

免费翻译文档

深度研究

AI帮你快速写综述,25分钟生成高质量综述,智能提取关键信息,辅助科研写作。

立即免费体验

颈内动脉狭窄中的视网膜微血管变化

Retinal Microvascular Changes in Internal Carotid Artery Stenosis.

作者信息

Batu Oto Bilge, Kılıçarslan Oğuzhan, Kayadibi Yasemin, Yılmaz Çebi Aslıhan, Adaletli İbrahim, Yıldırım Senihe Rengin

机构信息

Department of Ophthalmology, Cerrahpaşa Medical Faculty, Istanbul University-Cerrahpaşa, 345098 Istanbul, Turkey.

Department of Ophthalmology, Ayancık State Hospital, 57400 Sinop, Turkey.

出版信息

J Clin Med. 2023 Sep 16;12(18):6014. doi: 10.3390/jcm12186014.

DOI:10.3390/jcm12186014
PMID:37762953
原文链接:https://pmc.ncbi.nlm.nih.gov/articles/PMC10531601/
Abstract

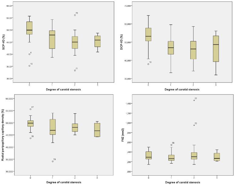
We aimed to analyze retinal microvascular parameters, measured by optical coherence tomography angiography in patients with internal carotid artery stenosis compared to healthy individuals. A total of 41 eyes from 30 patients who had varying degrees of carotid stenosis, and 42 eyes from 42 healthy controls, were enrolled in this study. Depending on the degree of stenosis evaluated by Doppler ultrasonographic imaging, the patient group was further subclassified into mild, moderate, and severe carotid artery stenosis. Superficial and deep capillary plexus vessel densities, radial peripapillary capillary vessel density, foveal avascular zone, and flow densities in the choriocapillaris and outer retina were evaluated by optical coherence tomography angiography. The superficial and deep capillary plexus vessel densities were significantly reduced among the groups, only sparing the foveal region. The mean superficial plexus vessel density was 45.67 ± 4.65 and 50.09 ± 4.05 for the patient and control group, respectively ( = 0.000). The mean deep capillary plexus density was 46.33% ± 7.31% and 53.27% ± 6.31% for the patient and control group, respectively ( = 0.000). The mean superficial and deep capillary vessel densities in the foveal region did not show any statistical difference between the patient and control groups ( = 0.333 for the superficial and = 0.195 for the deep plexus vessel density). Radial peripapillary capillary vessel density was decreased in the patient group ( = 0.004). The foveal avascular zone area was wider in the patient group but this difference did not show a significant difference ( = 0.385). Retinal microvascular changes are a prominent outcome of internal carotid disease, and even mild stenosis can lead to alterations in the retinal microvascular bed which could be detected by OCTA. By early detection of microvascular changes in the retina in this patient group, we might speculate the overall vascular condition.

摘要

我们旨在分析通过光学相干断层扫描血管造影术测量的视网膜微血管参数,将患有颈内动脉狭窄的患者与健康个体进行比较。本研究共纳入了30例患有不同程度颈动脉狭窄患者的41只眼,以及42例健康对照者的42只眼。根据多普勒超声成像评估的狭窄程度,将患者组进一步细分为轻度、中度和重度颈动脉狭窄。通过光学相干断层扫描血管造影术评估浅表和深层毛细血管丛血管密度、视盘周围放射状毛细血管血管密度、黄斑无血管区以及脉络膜毛细血管和视网膜外层的血流密度。各组之间浅表和深层毛细血管丛血管密度均显著降低,仅黄斑区未受影响。患者组和对照组的平均浅表丛血管密度分别为45.67±4.65和50.09±4.05(P = 0.000)。患者组和对照组的平均深层毛细血管丛密度分别为46.33%±7.31%和53.27%±6.31%(P = 0.000)。患者组和对照组黄斑区的平均浅表和深层毛细血管血管密度未显示出任何统计学差异(浅表P = 0.333,深层丛血管密度P = 0.195)。患者组视盘周围放射状毛细血管血管密度降低(P = 0.004)。患者组黄斑无血管区面积更宽,但这种差异未显示出显著差异(P = 0.385)。视网膜微血管变化是颈内动脉疾病的一个突出结果,即使是轻度狭窄也可能导致视网膜微血管床的改变,这可以通过光学相干断层扫描血管造影术检测到。通过早期检测该患者组视网膜中的微血管变化,我们可能推测其整体血管状况。

https://cdn.ncbi.nlm.nih.gov/pmc/blobs/e6b8/10531601/d624f0d8c269/jcm-12-06014-g003.jpg
https://cdn.ncbi.nlm.nih.gov/pmc/blobs/e6b8/10531601/db32d9da5a4f/jcm-12-06014-g001.jpg
https://cdn.ncbi.nlm.nih.gov/pmc/blobs/e6b8/10531601/83ebaf75e7a4/jcm-12-06014-g002.jpg
https://cdn.ncbi.nlm.nih.gov/pmc/blobs/e6b8/10531601/d624f0d8c269/jcm-12-06014-g003.jpg
https://cdn.ncbi.nlm.nih.gov/pmc/blobs/e6b8/10531601/db32d9da5a4f/jcm-12-06014-g001.jpg
https://cdn.ncbi.nlm.nih.gov/pmc/blobs/e6b8/10531601/83ebaf75e7a4/jcm-12-06014-g002.jpg
https://cdn.ncbi.nlm.nih.gov/pmc/blobs/e6b8/10531601/d624f0d8c269/jcm-12-06014-g003.jpg

相似文献

1
Retinal Microvascular Changes in Internal Carotid Artery Stenosis.颈内动脉狭窄中的视网膜微血管变化
J Clin Med. 2023 Sep 16;12(18):6014. doi: 10.3390/jcm12186014.
2
Macular and peripapillary vessel density in myopic eyes of young Chinese adults.中国年轻近视人群的黄斑区及视盘周围血管密度。
Clin Exp Optom. 2020 Nov;103(6):830-837. doi: 10.1111/cxo.13047. Epub 2020 Feb 12.
3
Optical coherence tomography angiography findings in young β-thalassemia patients.年轻β地中海贫血患者的光学相干断层扫描血管造影结果
Eur J Ophthalmol. 2020 May;30(3):600-607. doi: 10.1177/1120672119899375. Epub 2020 Jan 5.
4
Comparison of Retinal Vascular Structure in Eyes With and Without Amblyopia by Optical Coherence Tomography Angiography.通过光学相干断层扫描血管造影术比较弱视眼与非弱视眼的视网膜血管结构
J Pediatr Ophthalmol Strabismus. 2020 Jan 1;57(1):48-53. doi: 10.3928/01913913-20191004-01.
5
Analysis of Macular Vessel Density and Foveal Avascular Zone Using Spectral-Domain Optical Coherence Tomography Angiography in Children With Amblyopia.利用光谱域光学相干断层扫描血管造影术分析弱视儿童的黄斑血管密度和中心凹无血管区
J Pediatr Ophthalmol Strabismus. 2019 Jan 23;56(1):55-59. doi: 10.3928/01913913-20181003-02. Epub 2018 Oct 26.
6
Evaluation of retinal vessel density and foveal avascular zone measurements in patients with obstructive sleep apnea syndrome.评估阻塞性睡眠呼吸暂停综合征患者的视网膜血管密度和中心凹无血管区测量值。
Int Ophthalmol. 2021 Apr;41(4):1317-1325. doi: 10.1007/s10792-020-01690-0. Epub 2021 Jan 8.
7
Early effects of viper envenomation on retina and optic nerve blood flow: An optical coherence tomography angiography study.蝰蛇咬伤对视网膜和视神经血流的早期影响:一项光学相干断层扫描血管造影研究。
Toxicon. 2021 Jul 30;198:54-63. doi: 10.1016/j.toxicon.2021.04.008. Epub 2021 May 4.
8
Evaluation of the correlation between quantitative measurement of the foveal avascular zone and retinal vessel density and outer retinal disruptions in diabetic patients.评估糖尿病患者黄斑中心凹无血管区的定量测量与视网膜血管密度和外层视网膜病变的相关性。
Turk J Med Sci. 2019 Aug 8;49(2):1041-6. doi: 10.3906/sag-1901-22.
9
Optical cohorence tomography angiography findings in carotid artery stenosis.颈动脉狭窄的光学相干断层血管造影表现。
Int Ophthalmol. 2022 Aug;42(8):2501-2509. doi: 10.1007/s10792-022-02297-3. Epub 2022 Mar 30.
10
Comparison of the vessel density measurements of the macula, optical disc, and peri-papillary region between ocular hypertension patients and healthy controls.比较高眼压症患者和健康对照者的黄斑、视盘和视盘周围区域的血管密度测量值。
Photodiagnosis Photodyn Ther. 2023 Jun;42:103551. doi: 10.1016/j.pdpdt.2023.103551. Epub 2023 Apr 1.

引用本文的文献

1
Changes in retinal and choroidal thickness after carotid endarterectomy: a systematic review.颈动脉内膜切除术后视网膜和脉络膜厚度的变化:一项系统评价
Int J Retina Vitreous. 2025 Aug 4;11(1):91. doi: 10.1186/s40942-025-00713-1.
2
Low rank based FAZ segmentation in OCTA images.光学相干断层扫描血管造影(OCTA)图像中基于低秩的黄斑无血管区(FAZ)分割
Sci Rep. 2025 Jul 9;15(1):24757. doi: 10.1038/s41598-025-07448-x.
3
Retinal optical coherence tomography angiography (OCTA) biomarkers of cardiovascular disease: a review article.心血管疾病的视网膜光学相干断层扫描血管造影(OCTA)生物标志物:一篇综述文章。

本文引用的文献

1
Retinal microvasculature and cerebral hemodynamics in patients with internal carotid artery stenosis.颈内动脉狭窄患者的视网膜微血管和脑血流动力学。
BMC Neurol. 2022 Oct 13;22(1):386. doi: 10.1186/s12883-022-02908-7.
2
Quantitative assessment of retinal vessel density and thickness changes in internal carotid artery stenosis patients using optical coherence tomography angiography.采用光学相干断层血管造影术定量评估颈内动脉狭窄患者视网膜血管密度和厚度的变化。
Photodiagnosis Photodyn Ther. 2022 Sep;39:103006. doi: 10.1016/j.pdpdt.2022.103006. Epub 2022 Jul 12.
3
Optical cohorence tomography angiography findings in carotid artery stenosis.
Eye (Lond). 2025 May 14. doi: 10.1038/s41433-025-03780-8.
4
Retinal and cerebral hemodynamics redistribute to favor thermoregulation in response to passive environmental heating and heated exercise in humans.在人类中,视网膜和脑血流动力学重新分布,以利于体温调节,从而对被动环境加热和热运动作出反应。
Temperature (Austin). 2024 Oct 16;12(1):55-70. doi: 10.1080/23328940.2024.2411771. eCollection 2025.
5
Detection of macular and peripheral ocular microvascular changes after carotid artery revascularization using widefield SS-OCTA.使用超广角 SS-OCTA 检测颈动脉血运重建术后黄斑和周边眼部微血管变化。
Front Med (Lausanne). 2025 Jan 22;12:1530867. doi: 10.3389/fmed.2025.1530867. eCollection 2025.
6
Molecular and Cellular Mechanisms Involved in the Pathophysiology of Retinal Vascular Disease-Interplay Between Inflammation and Oxidative Stress.涉及视网膜血管疾病病理生理学的分子和细胞机制-炎症和氧化应激的相互作用。
Int J Mol Sci. 2024 Nov 4;25(21):11850. doi: 10.3390/ijms252111850.
7
Non-Invasive Tools in Perioperative Stroke Risk Assessment for Asymptomatic Carotid Artery Stenosis with a Focus on the Circle of Willis.围手术期无症状性颈动脉狭窄卒中风险评估中的非侵入性工具,重点关注 Willis 环
J Clin Med. 2024 Apr 24;13(9):2487. doi: 10.3390/jcm13092487.
8
A Siamese ResNeXt network for predicting carotid intimal thickness of patients with T2DM from fundus images.基于眼底图像预测 T2DM 患者颈动脉内膜中层厚度的泰式 ResNeXt 网络。
Front Endocrinol (Lausanne). 2024 Mar 14;15:1364519. doi: 10.3389/fendo.2024.1364519. eCollection 2024.
9
Optical Coherence Tomography Angiography: Revolutionizing Clinical Diagnostics and Treatment in Central Nervous System Disease.光学相干断层扫描血管造影术:革新中枢神经系统疾病的临床诊断与治疗
Aging Dis. 2024 Jan 20;16(1):77-114. doi: 10.14336/AD.2024.0112.
颈动脉狭窄的光学相干断层血管造影表现。
Int Ophthalmol. 2022 Aug;42(8):2501-2509. doi: 10.1007/s10792-022-02297-3. Epub 2022 Mar 30.
4
Changes of retinal structure and function in patients with internal carotid artery stenosis.颈内动脉狭窄患者视网膜结构和功能的变化。
BMC Ophthalmol. 2022 Mar 15;22(1):123. doi: 10.1186/s12886-022-02345-7.
5
Optical coherence tomography angiography changes in cardiovascular systemic diseases and risk factors: A Review.心血管系统疾病及危险因素的光相干断层扫描血管造影改变:综述
Acta Ophthalmol. 2022 Feb;100(1):e1-e15. doi: 10.1111/aos.14851. Epub 2021 Mar 29.
6
Guidelines for Imaging the Choriocapillaris Using OCT Angiography.《OCT 血管造影成像脉络膜毛细血管的指南》。
Am J Ophthalmol. 2021 Feb;222:92-101. doi: 10.1016/j.ajo.2020.08.045. Epub 2020 Sep 4.
7
Retinal arterial occlusion with multiple retinal emboli and carotid artery occlusion disease. Haemodynamic changes and pathways of embolism.伴有多发性视网膜栓子的视网膜动脉阻塞及颈动脉阻塞性疾病。血流动力学变化及栓子的途径。
BMJ Open Ophthalmol. 2020 Jul 27;5(1):e000467. doi: 10.1136/bmjophth-2020-000467. eCollection 2020.
8
Optical Coherence Tomography Angiography Evaluation of Retinal Microvasculature Before and After Carotid Angioplasty and Stenting.颈动脉血管成形术及支架置入术前、后视网膜微血管的光相干断层扫描血管造影评估。
Sci Rep. 2019 Oct 14;9(1):14755. doi: 10.1038/s41598-019-51382-8.
9
Retinal and choroidal vascular changes in coronary heart disease: an optical coherence tomography angiography study.冠心病患者视网膜和脉络膜血管变化:一项光学相干断层扫描血管造影研究
Biomed Opt Express. 2019 Mar 4;10(4):1532-1544. doi: 10.1364/BOE.10.001532. eCollection 2019 Apr 1.
10
Changes in retinal flow density measured by optical coherence tomography angiography in patients with carotid artery stenosis after carotid endarterectomy.颈动脉内膜切除术治疗颈动脉狭窄患者后,光学相干断层扫描血管造影测量视网膜血流密度的变化。
Sci Rep. 2018 Nov 21;8(1):17161. doi: 10.1038/s41598-018-35556-4.