• 文献检索
  • 文档翻译
  • 深度研究
  • 学术资讯
  • Suppr Zotero 插件Zotero 插件
  • 邀请有礼
  • 套餐&价格
  • 历史记录
应用&插件
Suppr Zotero 插件Zotero 插件浏览器插件Mac 客户端Windows 客户端微信小程序
定价
高级版会员购买积分包购买API积分包
服务
文献检索文档翻译深度研究API 文档MCP 服务
关于我们
关于 Suppr公司介绍联系我们用户协议隐私条款
关注我们

Suppr 超能文献

核心技术专利:CN118964589B侵权必究
粤ICP备2023148730 号-1Suppr @ 2026

文献检索

告别复杂PubMed语法,用中文像聊天一样搜索,搜遍4000万医学文献。AI智能推荐,让科研检索更轻松。

立即免费搜索

文件翻译

保留排版,准确专业,支持PDF/Word/PPT等文件格式,支持 12+语言互译。

免费翻译文档

深度研究

AI帮你快速写综述,25分钟生成高质量综述,智能提取关键信息,辅助科研写作。

立即免费体验

营养超声检查:一种在疾病相关营养不良的形态功能评估中评估肌肉量和质量的方法。

Nutritional Ultrasonography, a Method to Evaluate Muscle Mass and Quality in Morphofunctional Assessment of Disease Related Malnutrition.

机构信息

Servicio de Endocrinología y Nutrición, Hospital Clínico Universitario de Valladolid, 47003 Valladolid, Spain.

Centro de Investigación Endocrinología y Nutrición, Universidad de Valladolid, 47003 Valladolid, Spain.

出版信息

Nutrients. 2023 Sep 9;15(18):3923. doi: 10.3390/nu15183923.

DOI:10.3390/nu15183923
PMID:37764706
原文链接:https://pmc.ncbi.nlm.nih.gov/articles/PMC10534706/
Abstract

UNLABELLED

Nutritional ultrasonography is an emerging technique for measuring muscle mass and quality. The study aimed to evaluate the relationship between the parameters of body mass and quality of ultrasonography with other parameters of morphofunctional assessment in patients with disease-related malnutrition (DRM).

METHODS

A cross-sectional study was developed on 144 patients diagnosed with DRM according to the Global Leadership Initiative on Malnutrition (GLIM) criteria. Morphofunctional evaluation was assessed with anthropometric variables, handgrip strength and bioelectrical impedanciometry (BIA). Nutritional ultrasonography of quadriceps rectus femoris (QRF) was made (muscle mass (Muscle Area of Rectus Femoris index (MARFI)), Y axis and muscle quality (X-Y index and echogenicity).

RESULTS

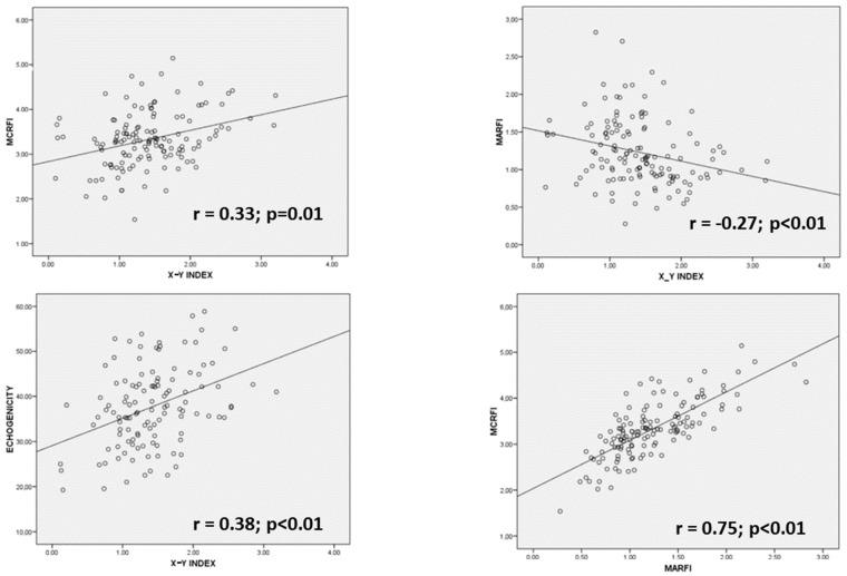
The mean age of patients was 61.4 (17.34) years. The prevalence of sarcopenia in the sample was 33.3%. Patients with sarcopenia (S) had lower values of MARFI [(S: 1.09 (0.39) cm/m; NoS: 1.27 (0.45); = 0.02), Y axis (S: 0.88 (0.27); NoS: 1.19 (0.60); < 0.01) and X-Y index (S: 1.52 (0.61); NoS: 1.30 (0.53); < 0.01)]. There was a correlation between BIA parameters (phase angle) and muscle mass ultrasonographic variables (MARFI) (r = 0.35; < 0.01); there was an inverse correlation between muscle quality ultrasonographic variables (echogenicity) and handgrip strength (r = -0.36; < 0.01). In the multivariate analysis adjusted by age, the highest quartile of the X-Y index had more risk of death OR: 4.54 CI95% (1.11-18.47).

CONCLUSIONS

In patients with DRM and sarcopenia, standardized muscle mass and muscle quality parameters determined by ultrasonography of QRF are worse than in patients without sarcopenia. Muscle quality parameters had an inverse correlation with electric parameters from BIA and muscle strength. The highest quartile of the X-Y index determined by ultrasonography was associated with increased mortality risk.

摘要

目的

评估与疾病相关的营养不良 (DRM) 患者的人体测量和质量超声参数与其他形态功能评估参数之间的关系。

方法

对根据全球营养倡议 (GLIM) 标准诊断为 DRM 的 144 名患者进行横断面研究。形态功能评估通过人体测量变量、握力和生物电阻抗法 (BIA) 进行评估。对股四头肌直肌进行营养超声检查 (肌肉质量 (股直肌的肌肉区域指数 (MARFI))、Y 轴和肌肉质量 (X-Y 指数和回声性))。

结果

患者的平均年龄为 61.4(17.34)岁。样本中肌少症的患病率为 33.3%。肌少症患者 (S) 的 MARFI 值较低 [(S:1.09(0.39)cm/m;NoS:1.27(0.45); = 0.02),Y 轴 (S:0.88(0.27);NoS:1.19(0.60);<0.01)和 X-Y 指数 (S:1.52(0.61);NoS:1.30(0.53);<0.01)]。BIA 参数 (相位角) 与肌肉质量超声变量 (MARFI) 之间存在相关性 (r = 0.35;<0.01);肌肉质量超声变量 (回声性) 与握力呈负相关 (r = -0.36;<0.01)。在年龄调整的多变量分析中,X-Y 指数的最高四分位数死亡风险更高 OR:4.54CI95% (1.11-18.47)。

结论

在患有 DRM 和肌少症的患者中,股四头肌直肌超声确定的标准化肌肉质量和肌肉质量参数比没有肌少症的患者差。肌肉质量参数与 BIA 和肌肉力量的电参数呈负相关。超声确定的 X-Y 指数的最高四分位数与死亡率增加的风险相关。

https://cdn.ncbi.nlm.nih.gov/pmc/blobs/5cd3/10534706/6db0efda0f80/nutrients-15-03923-g005.jpg
https://cdn.ncbi.nlm.nih.gov/pmc/blobs/5cd3/10534706/5115c347cd75/nutrients-15-03923-g001.jpg
https://cdn.ncbi.nlm.nih.gov/pmc/blobs/5cd3/10534706/c68bbe57da4b/nutrients-15-03923-g002.jpg
https://cdn.ncbi.nlm.nih.gov/pmc/blobs/5cd3/10534706/e1158844b8b8/nutrients-15-03923-g003.jpg
https://cdn.ncbi.nlm.nih.gov/pmc/blobs/5cd3/10534706/5e699d104ad6/nutrients-15-03923-g004.jpg
https://cdn.ncbi.nlm.nih.gov/pmc/blobs/5cd3/10534706/6db0efda0f80/nutrients-15-03923-g005.jpg
https://cdn.ncbi.nlm.nih.gov/pmc/blobs/5cd3/10534706/5115c347cd75/nutrients-15-03923-g001.jpg
https://cdn.ncbi.nlm.nih.gov/pmc/blobs/5cd3/10534706/c68bbe57da4b/nutrients-15-03923-g002.jpg
https://cdn.ncbi.nlm.nih.gov/pmc/blobs/5cd3/10534706/e1158844b8b8/nutrients-15-03923-g003.jpg
https://cdn.ncbi.nlm.nih.gov/pmc/blobs/5cd3/10534706/5e699d104ad6/nutrients-15-03923-g004.jpg
https://cdn.ncbi.nlm.nih.gov/pmc/blobs/5cd3/10534706/6db0efda0f80/nutrients-15-03923-g005.jpg

相似文献

1
Nutritional Ultrasonography, a Method to Evaluate Muscle Mass and Quality in Morphofunctional Assessment of Disease Related Malnutrition.营养超声检查:一种在疾病相关营养不良的形态功能评估中评估肌肉量和质量的方法。
Nutrients. 2023 Sep 9;15(18):3923. doi: 10.3390/nu15183923.
2
Use of Muscle Ultrasonography in Morphofunctional Assessment of Amyotrophic Lateral Sclerosis (ALS).肌肉超声在肌萎缩侧索硬化症(ALS)形态功能评估中的应用。
Nutrients. 2024 Mar 31;16(7):1021. doi: 10.3390/nu16071021.
3
Muscular Ultrasonography in Morphofunctional Assessment of Patients with Oncological Pathology at Risk of Malnutrition.肌肉超声在肿瘤性疾病伴营养不良风险患者形态功能评估中的应用。
Nutrients. 2022 Apr 10;14(8):1573. doi: 10.3390/nu14081573.
4
Usefulness of Muscle Ultrasonography in the Nutritional Assessment of Adult Patients with Cystic Fibrosis.肌肉超声检查在成人囊性纤维化患者营养评估中的应用。
Nutrients. 2022 Aug 17;14(16):3377. doi: 10.3390/nu14163377.
5
Ultrasound Cut-Off Values for Rectus Femoris for Detecting Sarcopenia in Patients with Nutritional Risk.超声截断值对股直肌检测营养风险患者肌少症的应用
Nutrients. 2024 May 21;16(11):1552. doi: 10.3390/nu16111552.
6
AI-Assisted Body Composition Assessment Using CT Imaging in Colorectal Cancer Patients: Predictive Capacity for Sarcopenia and Malnutrition Diagnosis.基于 CT 成像的人工智能辅助结直肠癌患者身体成分评估:对肌肉减少症和营养不良诊断的预测能力。
Nutrients. 2024 Jun 14;16(12):1869. doi: 10.3390/nu16121869.
7
Phase angle and rectus femoris cross-sectional area as predictors of severe malnutrition and their relationship with complications in outpatients with post-critical SARS-CoV2 disease.作为预测严重营养不良指标的相角和股直肌横截面积及其与重症新冠病毒感染后疾病门诊患者并发症的关系。
Front Nutr. 2023 Nov 21;10:1218266. doi: 10.3389/fnut.2023.1218266. eCollection 2023.
8
Impact of malnutrition and sarcopenia on quality of life in patients with inflammatory bowel disease: A multicentre study.营养不良和肌肉减少症对炎症性肠病患者生活质量的影响:一项多中心研究。
J Cachexia Sarcopenia Muscle. 2023 Dec;14(6):2663-2675. doi: 10.1002/jcsm.13341. Epub 2023 Oct 1.
9
IA-Body Composition CT at T12 in Idiopathic Pulmonary Fibrosis: Diagnosing Sarcopenia and Correlating with Other Morphofunctional Assessment Techniques.特发性肺纤维化 T12 处的 IA 体成分 CT:诊断肌肉减少症并与其他形态功能评估技术相关。
Nutrients. 2024 Aug 28;16(17):2885. doi: 10.3390/nu16172885.
10
Malnutrition in Amyotrophic Lateral Sclerosis: Insights from Morphofunctional Assessment and Global Leadership Initiative on Malnutrition Criteria.肌萎缩侧索硬化症中的营养不良:形态功能评估和全球营养不良标准领导力倡议的见解。
Nutrients. 2024 Aug 9;16(16):2625. doi: 10.3390/nu16162625.

引用本文的文献

1
Association between bioelectrical impedance analysis parameters and muscle-related measurements obtained using a non-diagnostic ultrasound-based technique.生物电阻抗分析参数与使用基于非诊断性超声技术获得的肌肉相关测量值之间的关联。
J Transl Med. 2025 Aug 27;23(1):966. doi: 10.1186/s12967-025-06963-9.
2
Morphofunctional Assessment of Malnutrition and Sarcopenia Using Nutritional Ultrasonography in Patients Undergoing Maintenance Hemodialysis.营养超声对维持性血液透析患者营养不良和肌肉减少症的形态功能评估
Medicina (Kaunas). 2025 Jun 5;61(6):1044. doi: 10.3390/medicina61061044.
3
Artificial Intelligence-Assisted Muscular Ultrasonography for Assessing Inflammation and Muscle Mass in Patients at Risk of Malnutrition.

本文引用的文献

1
New bioelectrical impedance vector references and phase angle centile curves in 4,367 adults: The need for an urgent update after 30 years.新的生物电阻抗向量参考值和相位角百分位数曲线在 4367 名成年人中的应用:30 年后急需更新。
Clin Nutr. 2023 Sep;42(9):1749-1758. doi: 10.1016/j.clnu.2023.07.025. Epub 2023 Jul 31.
2
Consensus-defined sarcopenia predicts adverse outcomes after elective abdominal surgery: meta-analysis.共识定义的肌肉减少症预测择期腹部手术后的不良结局:荟萃分析。
BJS Open. 2023 Jul 10;7(4). doi: 10.1093/bjsopen/zrad065.
3
Ultrasound assessment of rectus femoris pennation angle and echogenicity. Their association with muscle functional measures and fat infiltration measured by CT scan.
人工智能辅助肌肉超声检查在评估营养不良风险患者的炎症和肌肉质量中的应用
Nutrients. 2025 May 9;17(10):1620. doi: 10.3390/nu17101620.
4
Association among measurements obtained using portable ultrasonography with sex, body mass index, and age in a large sample of adult population.在大量成年人群样本中,使用便携式超声检查所获得的测量值与性别、体重指数和年龄之间的关联。
J Transl Med. 2025 Feb 27;23(1):236. doi: 10.1186/s12967-025-06159-1.
5
Muscle Biomarkers in Colorectal Cancer Outpatients: Agreement Between Computed Tomography, Bioelectrical Impedance Analysis, and Nutritional Ultrasound.结直肠癌门诊患者的肌肉生物标志物:计算机断层扫描、生物电阻抗分析和营养超声之间的一致性
Nutrients. 2024 Dec 13;16(24):4312. doi: 10.3390/nu16244312.
6
Ultrasound for body composition assessment: a narrative review.用于身体成分评估的超声检查:一篇叙述性综述
Intern Emerg Med. 2025 Jan;20(1):23-34. doi: 10.1007/s11739-024-03756-8. Epub 2024 Sep 6.
7
Incorporating ultrasonography to the nutritional assessment process in intensive care settings to improve the prescription of enteral and parenteral nutrition: Benefits, practicality, and challenges.将超声检查纳入重症监护环境中的营养评估过程中,以改善肠内和肠外营养的处方:益处、实用性和挑战。
Saudi Med J. 2024 Jul;45(7):653-657. doi: 10.15537/smj.2024.45.7.20240082.
8
Validation of an Artificial Intelligence-Based Ultrasound Imaging System for Quantifying Muscle Architecture Parameters of the Rectus Femoris in Disease-Related Malnutrition (DRM).基于人工智能的超声成像系统对疾病相关营养不良(DRM)中股直肌肌肉结构参数进行定量评估的验证。
Nutrients. 2024 Jun 8;16(12):1806. doi: 10.3390/nu16121806.
9
Ultrasound Cut-Off Values for Rectus Femoris for Detecting Sarcopenia in Patients with Nutritional Risk.超声截断值对股直肌检测营养风险患者肌少症的应用
Nutrients. 2024 May 21;16(11):1552. doi: 10.3390/nu16111552.
10
Use of Muscle Ultrasonography in Morphofunctional Assessment of Amyotrophic Lateral Sclerosis (ALS).肌肉超声在肌萎缩侧索硬化症(ALS)形态功能评估中的应用。
Nutrients. 2024 Mar 31;16(7):1021. doi: 10.3390/nu16071021.
股直肌羽状角和回声性的超声评估。它们与肌肉功能测量和 CT 扫描测量的脂肪浸润的相关性。
Clin Nutr ESPEN. 2023 Jun;55:420-424. doi: 10.1016/j.clnesp.2023.04.015. Epub 2023 Apr 26.
4
Skeletal muscle mass in patients with end-stage liver disease: Not only muscle size but especially muscle quality matters in relation to physical fitness.终末期肝病患者的骨骼肌质量:与身体适应性相关,骨骼肌质量不仅关乎肌肉大小,而且尤其关乎肌肉质量。
Clin Nutr ESPEN. 2023 Jun;55:407-413. doi: 10.1016/j.clnesp.2023.04.005. Epub 2023 Apr 15.
5
Sarcopenia and loss of muscle mass in patients with lung cancer undergoing chemotherapy treatment: a systematic review and meta-analysis.癌症患者化疗治疗过程中的肌肉减少症和肌肉质量损失:系统评价和荟萃分析。
Acta Oncol. 2023 Mar;62(3):318-328. doi: 10.1080/0284186X.2023.2180660. Epub 2023 Feb 22.
6
Future lines of research on phase angle: Strengths and limitations.相位角研究的未来方向:优势与局限。
Rev Endocr Metab Disord. 2023 Jun;24(3):563-583. doi: 10.1007/s11154-023-09803-7. Epub 2023 Apr 12.
7
Prevalence of Sarcopenia in Liver Cirrhosis: A Systematic Review and Meta-Analysis.肝硬化患者中肌少症的患病率:系统评价和荟萃分析。
Clin Transl Gastroenterol. 2023 Jul 1;14(7):e00584. doi: 10.14309/ctg.0000000000000584.
8
Post-discharge consequences of protein-energy malnutrition, sarcopenia, and frailty in older adults admitted to rehabilitation: A systematic review.入住康复机构的老年人蛋白质能量营养不良、肌肉减少症和衰弱的出院后后果:一项系统综述。
Clin Nutr ESPEN. 2023 Apr;54:382-397. doi: 10.1016/j.clnesp.2023.01.023. Epub 2023 Feb 7.
9
Nutritional ultrasound®: Conceptualisation, technical considerations and standardisation.营养超声®:概念化、技术考量与标准化
Endocrinol Diabetes Nutr (Engl Ed). 2023 Mar;70 Suppl 1:74-84. doi: 10.1016/j.endien.2022.11.010.
10
Expert Consensus on Morphofunctional Assessment in Disease-Related Malnutrition. Grade Review and Delphi Study.疾病相关营养不良的形态功能评估专家共识。等级审查和德尔菲研究。
Nutrients. 2023 Jan 25;15(3):612. doi: 10.3390/nu15030612.