Department of Sport Science, Faculty of Education and Psychology, Shiraz University, Shiraz 71345, Iran.
Faculty of Sport Sciences, Waseda University, 2-579-15 Mikajima, Tokorozawa 359-1192, Japan.
Nutrients. 2023 Sep 19;15(18):4049. doi: 10.3390/nu15184049.
The improvement of performance and skill indices of volleyball players can affect their success rate. Therefore, the present study aimed to evaluate the effects of acute caffeine supplementation of varied doses on collegiate volleyball players' specific performance and skills.
This research was a randomized, double-blind, crossover design study in which 15 male volleyball players aged 18 to 25 years participated voluntarily. Participants were randomly placed in three different conditions, including 3 mg of caffeine per kilogram of body weight (C3), 6 mg of caffeine per kilogram of body weight (C6), and a placebo (PLA) with a one-week wash-out period between exercise trials. The supplement was taken 60 min before each exercise session. Ball throwing, hand movement speed, agility, Sargent's jump and handgrip, and attacking and serving skill tests were measured and analyzed to check the performance and skill of the volleyball players.
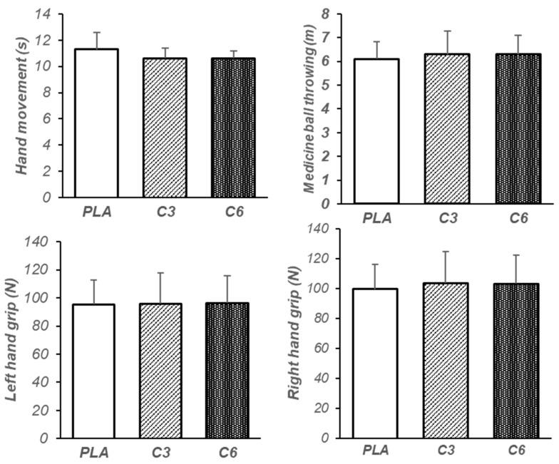
This study showed a significant increase in agility test in C6 compared with the PLA condition ( = 0.02). Additionally, there was a significant improvement in Sargent's jump in C6 compared with PLA ( = 0.00) and C6 compared with the C3 condition ( = 0.00). Also, attacking skill significantly increased in C3 compared with PLA ( = 0.00) and C6 compared with the PLA condition ( = 0.00). In addition, there was a significant increase in serving skill for C6 compared with PLA ( = 0.00) and C3 ( = 0.00). However, there were no significant differences in hand movement speed ( = 0.06), left handgrip ( = 0.85), right handgrip ( = 0.47), or medicine ball throwing ( = 0.22) between the three conditions.
In conclusion, the findings of the current study suggested that a higher dose of caffeine compared with a lower dose may be more effective in movements requiring lower-body explosive power and the ability to change direction. Also, according to the findings, it seems that caffeine can lead to the improvement of complex skills, such as serving and attacking in volleyball.
提高排球运动员的表现和技能指标会影响他们的成功率。因此,本研究旨在评估不同剂量的急性咖啡因补充对大学生排球运动员特定表现和技能的影响。
这是一项随机、双盲、交叉设计研究,15 名年龄在 18 至 25 岁的男性排球运动员自愿参与。参与者被随机分配到三种不同条件下,包括每公斤体重 3 毫克咖啡因(C3)、每公斤体重 6 毫克咖啡因(C6)和一周洗脱期的安慰剂(PLA)。补充剂在每次运动前 60 分钟服用。通过测量和分析球投掷、手部动作速度、敏捷性、Sargent 跳和手握力、以及攻击和发球技能测试,来检查排球运动员的表现和技能。
本研究表明,与 PLA 条件相比,C6 组敏捷性测试显著增加( = 0.02)。此外,与 PLA 和 C6 相比,C6 组 Sargent 跳显著提高( = 0.00)。另外,与 PLA 和 C6 相比,C3 组攻击技能显著提高( = 0.00)。此外,与 PLA 和 C3 相比,C6 组发球技能显著提高( = 0.00)。然而,在手部动作速度( = 0.06)、左手握力( = 0.85)、右手握力( = 0.47)和药球投掷( = 0.22)方面,三种条件之间没有显著差异。
总之,本研究结果表明,与低剂量相比,高剂量的咖啡因可能更有效地提高需要下肢爆发力和改变方向能力的运动表现。此外,根据研究结果,咖啡因似乎可以提高排球中的发球和攻击等复杂技能。