Suppr超能文献

水热法合成的赤铁矿-壳聚糖纳米杂化物的比损耗功率增强

Enhanced specific loss power of hematite-chitosan nanohybrid synthesized by hydrothermal method.

作者信息

Deb Nandita, Rashid Rimi, Das H, Syed Ishtiaque M, Hoque S Manjura

机构信息

Materials Science Division, Atomic Energy Centre Dhaka, Dhaka 1000, Bangladesh.

Department of Physics, Dhaka University, Dhaka 1000, Bangladesh.

出版信息

R Soc Open Sci. 2023 Oct 11;10(10):230384. doi: 10.1098/rsos.230384. eCollection 2023 Oct.

Abstract

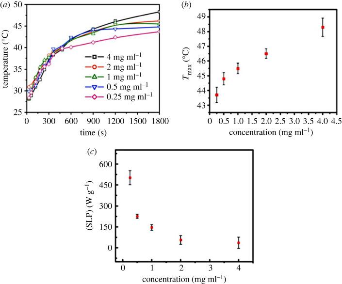
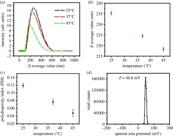
We used a hydrothermal technique to develop nano-scale α-FeO particles and functionalized them with chitosan. An X-ray diffraction study revealed α-FeO nanoparticles were of single-phase, lattice constants were = 5.07 Å and = 13.68 Å, and the grain size was 27 nm. The presence of lattice fringes in the HRTEM image confirmed the crystalline nature of the α-FeO. The Mössbauer spectra reveal a mixed relaxation state, which supports the PPMS studies. Zero-field cooled studies revealed the existence of a Morin transition and blocking temperature. The z-average value of the coated particles by DLS was between 218 and 235 nm, PDI ranged from 0.048 to 0.119, and zeta potential was +46.8 mV. We incubated the Vero and HeLa cell lines for 24 h to study the viability of the nanohybrids at different concentrations. Hyperthermia studies revealed the maximum temperature and specific loss power attained by the hematite-chitosan nanohybrid solution of a concentration between 0.25-4 mg ml. The at the lowest and highest concentrations of 0.25 and 4 mg ml were 42.9 and 48.3°C, while the SLP were 501.6 and 35.5 W g, which are remarkably high when the maximum magnetization of α-FeO nanoparticles was as small as 1.98 emu g at 300 K.

摘要

我们采用水热技术制备了纳米级α-FeO颗粒,并用壳聚糖对其进行功能化处理。X射线衍射研究表明,α-FeO纳米颗粒为单相,晶格常数a = 5.07 Å,c = 13.68 Å,晶粒尺寸为27 nm。高分辨透射电子显微镜(HRTEM)图像中晶格条纹的存在证实了α-FeO的晶体性质。穆斯堡尔谱显示出混合弛豫态,这支持了物理性质测量系统(PPMS)的研究结果。零场冷却研究揭示了莫林转变和阻塞温度的存在。通过动态光散射(DLS)测得包覆颗粒的z平均值在218至235 nm之间,多分散指数(PDI)在0.048至0.119之间,zeta电位为+46.8 mV。我们将Vero和HeLa细胞系培养24小时,以研究不同浓度下纳米杂化物的活力。热疗研究表明,浓度在0.25 - 4 mg/ml之间的赤铁矿-壳聚糖纳米杂化物溶液所能达到的最高温度和比损耗功率。在最低浓度0.25 mg/ml和最高浓度4 mg/ml时,最高温度分别为42.9和48.3°C,而比损耗功率分别为501.6和35.5 W/g,当α-FeO纳米颗粒在300 K时的最大磁化强度低至1.98 emu/g时,这些数值非常高。

https://cdn.ncbi.nlm.nih.gov/pmc/blobs/b6cc/10565375/d8722363e850/rsos230384f01.jpg

文献AI研究员

20分钟写一篇综述,助力文献阅读效率提升50倍。

立即体验

用中文搜PubMed

大模型驱动的PubMed中文搜索引擎

马上搜索

文档翻译

学术文献翻译模型,支持多种主流文档格式。

立即体验