Pomicpic Janronel, Kelland Malcolm A
Department of Chemistry, Bioscience and Environmental Engineering, Faculty of Science and Technology, University of Stavanger, N-4036 Stavanger, Norway.
ACS Omega. 2023 Sep 29;8(40):37501-37510. doi: 10.1021/acsomega.3c05828. eCollection 2023 Oct 10.
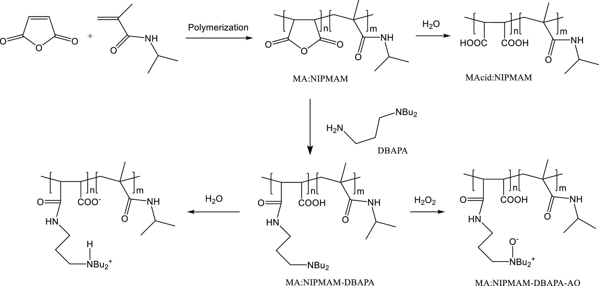
Kinetic gas hydrate inhibitors (KHIs) are often used in combination with film-forming corrosion inhibitors (CIs) in oilfield production flow lines. However, CIs can be antagonistic to KHI performance. In this study, maleic anhydride---isopropylmethacrylamide copolymer (MA:NIPMAM) and its derivatives were successfully synthesized and tested for gas hydrate and corrosion inhibition. KHI slow constant cooling (1 °C/h) screening tests in high-pressure rocking cells with synthetic natural gas and CO corrosion bubble tests in brine were performed in this study. The results revealed that underivatized MA:NIPMAM in water (as maleic acid:NIPMAM copolymer) showed poor KHI performance, probably due to internal hydrogen bonding. However, derivatization of MA:NIPMAM with 3-(dibutylamino)-1-propylamine (DBAPA) to give MA:NIPMAM-DBAPA gave excellent gas hydrate inhibition performance but only weak corrosion inhibition performance. Unlike some KHI polymers, MA:NIPMAM-DBAPA was compatible with a classic fatty acid imidazoline CI, such that neither the KHI polymer performance nor the corrosion inhibition of the imidazoline was affected. Furthermore, excellent dual gas hydrate and corrosion inhibition was also achieved in blends of MA:NIPMAM-DBAPA with small thiol-based molecules. In particular, the addition of butyl thioglycolate not only gave excellent corrosion inhibition efficiency, better than adding the fatty imidazoline, but also enhanced the overall gas hydrate inhibition performance.
动力学气体水合物抑制剂(KHI)在油田生产流水线中常与成膜缓蚀剂(CI)联合使用。然而,缓蚀剂可能会对KHI的性能产生拮抗作用。在本研究中,成功合成了马来酸酐-异丙基甲基丙烯酰胺共聚物(MA:NIPMAM)及其衍生物,并对其进行了气体水合物抑制和缓蚀性能测试。本研究在高压摇摆釜中进行了用合成天然气的KHI缓慢恒冷(1℃/h)筛选试验,以及在盐水中的CO2腐蚀气泡试验。结果表明,未衍生化的水中MA:NIPMAM(作为马来酸:NIPMAM共聚物)表现出较差的KHI性能,这可能是由于内部氢键作用。然而,用3-(二丁基氨基)-1-丙胺(DBAPA)对MA:NIPMAM进行衍生化得到MA:NIPMAM-DBAPA后,其具有优异的气体水合物抑制性能,但缓蚀性能较弱。与一些KHI聚合物不同,MA:NIPMAM-DBAPA与一种经典的脂肪酸咪唑啉缓蚀剂相容,因此KHI聚合物性能和咪唑啉的缓蚀性能均未受到影响。此外,MA:NIPMAM-DBAPA与基于小分子硫醇的混合物也实现了优异的双重气体水合物抑制和缓蚀性能。特别是,添加巯基乙酸丁酯不仅具有优异的缓蚀效率,优于添加脂肪酸咪唑啉,而且还增强了整体气体水合物抑制性能。