Suppr超能文献

瑜伽与针灸治疗类风湿关节炎的有效性:一项系统评价与荟萃分析

Effectiveness of Yoga and Acupuncture in Rheumatoid Arthritis: A Systematic Review and Meta-Analysis.

作者信息

Andrea Cortés-Ladino Carla, Augusto Arias-Ortiz Wanderley, Porras-Ramírez Alexandra

机构信息

Universidad El Bosque, Faculty of Medicine, Research Group of Medicina Comunitaria y Salud Colectiva, Bogotá, Colombia.

出版信息

Evid Based Complement Alternat Med. 2023 Oct 6;2023:9098442. doi: 10.1155/2023/9098442. eCollection 2023.

Abstract

INTRODUCTION

Rheumatoid arthritis is a form of inflammatory joint disease; sometimes, patients need prolonged cycles of nonsteroidal anti-inflammatory drugs and/or glucocorticoids for symptomatology management in addition to traditional disease-modifying drugs and biologics. On some occasions, doses are increased without improvement of symptoms associated with side effects; this is why, on some occasions, patients seek other types of nonpharmacological therapies, such as alternative therapies.

OBJECTIVE

To establish the effectiveness of alternative therapies such as yoga and acupuncture in rheumatoid arthritis by measuring disease activity with the disease activity score 28.

METHODS

A systematic review of the literature and meta-analysis was performed; databases such as PubMed and Embase were used to find the best available evidence of randomized clinical trials from 2017 to 2021, two researchers independently screened and extracted the necessary data, and the methodological quality and the risk of bias were assessed through the Cochrane risk-of-bias tool. The articles that applied for meta-analysis were analyzed in Jamovi version 2.2 and EPIDATA version 3.1 software.

RESULTS

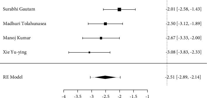
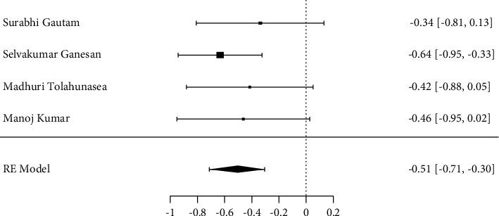
Eight studies were included for qualitative analysis of which seven were included in the meta-analysis, with 550 rheumatoid arthritis patients, predominantly female. The meta-analysis evidenced a significant effect of yoga and acupuncture interventions in decreasing DAS 28 in patients with rheumatoid arthritis (four RCTs; SMD -2.51 95% CI [-2.89, -2.14], ≤ 0.001, 25.9%); in the yoga subgroup analysis, there was also evidence of improvement in the evaluated outcome (three RCTs; SMD -0.51 95% CI [-0.71, -0.30], ≤ 0.001, 0%).

CONCLUSION

It was demonstrated that the practice of yoga and acupuncture in patients with rheumatoid arthritis helped to decrease disease activity through the improvement of pain and joint inflammation; we recommend the implementation of this type of alternative intervention associated with conventional therapies for the management of patients diagnosed with rheumatoid arthritis.

摘要

引言

类风湿性关节炎是一种炎症性关节疾病;有时,患者除了使用传统的改善病情药物和生物制剂外,还需要长期使用非甾体抗炎药和/或糖皮质激素来控制症状。在某些情况下,剂量增加但症状并未改善,反而出现了副作用;这就是为什么在某些情况下,患者会寻求其他类型的非药物疗法,如替代疗法。

目的

通过使用疾病活动评分28来衡量疾病活动度,确定瑜伽和针灸等替代疗法在类风湿性关节炎中的有效性。

方法

进行了一项文献系统综述和荟萃分析;使用PubMed和Embase等数据库查找2017年至2021年随机临床试验的最佳可用证据,两名研究人员独立筛选并提取必要数据,并通过Cochrane偏倚风险工具评估方法学质量和偏倚风险。在Jamovi 2.2版和EPIDATA 3.1版软件中对纳入荟萃分析的文章进行分析。

结果

八项研究纳入定性分析,其中七项纳入荟萃分析,共550例类风湿性关节炎患者,以女性为主。荟萃分析表明,瑜伽和针灸干预对降低类风湿性关节炎患者的疾病活动评分28有显著效果(四项随机对照试验;标准化均数差-2.51,95%可信区间[-2.89, -2.14],P≤0.001,I² = 25.9%);在瑜伽亚组分析中,也有证据表明评估结果有所改善(三项随机对照试验;标准化均数差-0.51,95%可信区间[-0.71, -0.30],P≤0.001,I² =  0%)。

结论

结果表明,类风湿性关节炎患者进行瑜伽和针灸有助于通过改善疼痛和关节炎症来降低疾病活动度;我们建议将这种类型的替代干预与传统疗法相结合,用于管理诊断为类风湿性关节炎的患者。

https://cdn.ncbi.nlm.nih.gov/pmc/blobs/c45c/10575744/962ced720e8d/ECAM2023-9098442.001.jpg

文献AI研究员

20分钟写一篇综述,助力文献阅读效率提升50倍。

立即体验

用中文搜PubMed

大模型驱动的PubMed中文搜索引擎

马上搜索

文档翻译

学术文献翻译模型,支持多种主流文档格式。

立即体验