Suppr超能文献

延迟奖励折扣:21 项和 27 项货币选择问卷的缺失数据插补。

Discounting of delayed rewards: Missing data imputation for the 21- and 27-item monetary choice questionnaires.

机构信息

Psychology Department, Illinois College, Jacksonville, IL, United States of America.

Fralin Biomedical Research Institute at VTC, Roanoke, VA, United States of America.

出版信息

PLoS One. 2023 Oct 16;18(10):e0292258. doi: 10.1371/journal.pone.0292258. eCollection 2023.

Abstract

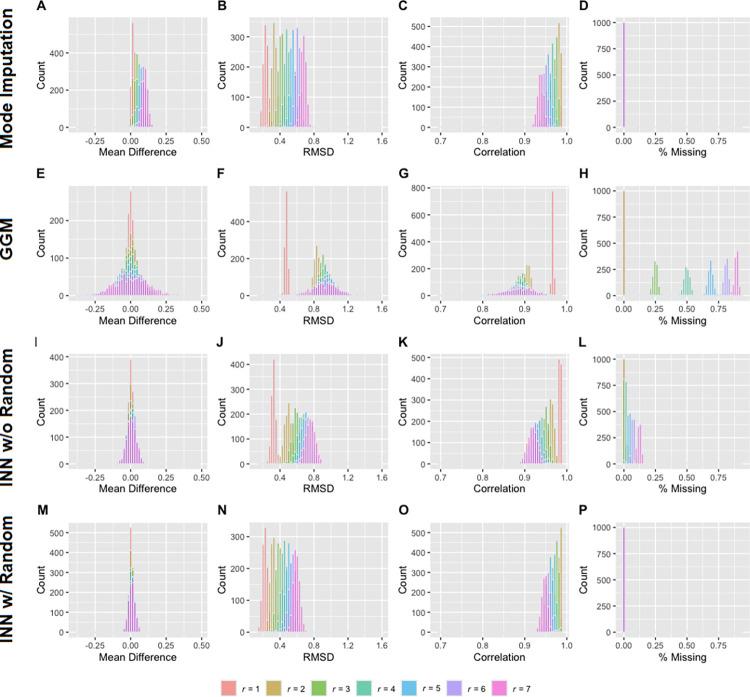
The Monetary Choice Questionnaire (MCQ) is a widely used behavioral task that measures the rate of delay discounting (i.e., k), the degree to which a delayed reward loses its present value as a function of the time to its receipt. Both 21- and 27-item MCQs have been extensively validated and proven valuable in research. Different methods have been developed to streamline MCQ scoring. However, existing scoring methods have yet to tackle the issue of missing responses or provide clear guidance on imputing such data. Due to this lack of knowledge, the present study developed and compared three imputation approaches that leverage the MCQ's structure and prioritize ease of implementation. Additionally, their performance was compared with mode imputation. A Monte Carlo simulation was conducted to evaluate the performance of these approaches in handling various missing responses in each observation across two datasets from prior studies that employed the 21- and 27-item MCQs. One of the three approaches consistently outperformed mode imputation across all performance measures. This approach involves imputing missing values using congruent non-missing responses to the items corresponding to the same k value or introducing random responses when congruent answers are unavailable. This investigation unveils a straightforward method for imputing missing data in the MCQ while ensuring unbiased estimates. Along with the investigation, an R tool was developed for researchers to implement this strategy while streamlining the MCQ scoring process.

摘要

货币选择问卷(MCQ)是一种广泛使用的行为任务,用于衡量延迟折扣率(即 k),即延迟奖励随着时间流逝而失去当前价值的程度,作为其收到时间的函数。21 项和 27 项 MCQ 都经过了广泛的验证,并在研究中证明了其价值。已经开发出不同的方法来简化 MCQ 评分。然而,现有的评分方法尚未解决缺失响应的问题,也没有提供关于如何填补此类数据的明确指导。由于缺乏相关知识,本研究开发并比较了三种利用 MCQ 结构并优先考虑实施简便性的填补方法。此外,还将它们的性能与模式填补进行了比较。通过蒙特卡罗模拟,评估了这些方法在处理来自先前使用 21 项和 27 项 MCQ 的两项研究的两个数据集的每个观察中各种缺失响应的性能。三种方法之一在所有性能指标上均优于模式填补。该方法涉及使用与相同 k 值相对应的项目的一致非缺失响应来填补缺失值,或者在没有一致答案时引入随机响应。这项研究揭示了一种在 MCQ 中填补缺失数据的简单方法,同时确保了无偏估计。随着研究的进行,还为研究人员开发了一个 R 工具,以实现这一策略,同时简化 MCQ 评分过程。

https://cdn.ncbi.nlm.nih.gov/pmc/blobs/0861/10578570/6cac767b928f/pone.0292258.g001.jpg

文献检索

告别复杂PubMed语法,用中文像聊天一样搜索,搜遍4000万医学文献。AI智能推荐,让科研检索更轻松。

立即免费搜索

文件翻译

保留排版,准确专业,支持PDF/Word/PPT等文件格式,支持 12+语言互译。

免费翻译文档

深度研究

AI帮你快速写综述,25分钟生成高质量综述,智能提取关键信息,辅助科研写作。

立即免费体验