• 文献检索
  • 文档翻译
  • 深度研究
  • 学术资讯
  • Suppr Zotero 插件Zotero 插件
  • 邀请有礼
  • 套餐&价格
  • 历史记录
应用&插件
Suppr Zotero 插件Zotero 插件浏览器插件Mac 客户端Windows 客户端微信小程序
定价
高级版会员购买积分包购买API积分包
服务
文献检索文档翻译深度研究API 文档MCP 服务
关于我们
关于 Suppr公司介绍联系我们用户协议隐私条款
关注我们

Suppr 超能文献

核心技术专利:CN118964589B侵权必究
粤ICP备2023148730 号-1Suppr @ 2026

文献检索

告别复杂PubMed语法,用中文像聊天一样搜索,搜遍4000万医学文献。AI智能推荐,让科研检索更轻松。

立即免费搜索

文件翻译

保留排版,准确专业,支持PDF/Word/PPT等文件格式,支持 12+语言互译。

免费翻译文档

深度研究

AI帮你快速写综述,25分钟生成高质量综述,智能提取关键信息,辅助科研写作。

立即免费体验

肌肉骨骼超声的数字化转型:混合式学习的可接受性

Digital Transformation in Musculoskeletal Ultrasound: Acceptability of Blended Learning.

作者信息

Weimer Andreas Michael, Berthold Rainer, Schamberger Christian, Vieth Thomas, Balser Gerd, Berthold Svenja, Stein Stephan, Müller Lukas, Merkel Daniel, Recker Florian, Schmidmaier Gerhard, Rink Maximilian, Künzel Julian, Kloeckner Roman, Weimer Johannes

机构信息

Clinic for Trauma and Reconstructive Surgery, University Clinic Heidelberg, 69118 Heidelberg, Germany.

Group Practice of Physicians Spilburg Wetzlar, Department of Orthopedics, 35578 Wetzlar, Germany.

出版信息

Diagnostics (Basel). 2023 Oct 20;13(20):3272. doi: 10.3390/diagnostics13203272.

DOI:10.3390/diagnostics13203272
PMID:37892093
原文链接:https://pmc.ncbi.nlm.nih.gov/articles/PMC10606223/
Abstract

BACKGROUND

ultrasound diagnostics have a broad spectrum of applications, including among diseases of the musculoskeletal system. Accordingly, it is important for the users to have a well-founded and up-to-date education in this dynamic examination method. The right balance between online and in-class teaching still needs to be explored in this context. Certifying institutions are currently testing digitally transformed teaching concepts to provide more evidence.

METHODS

this study compared two musculoskeletal ultrasound blended learning models. Model A was more traditional, with a focus on in-person teaching, while Model B was more digitally oriented with compulsory webinar. Both used e-learning for preparation. Participants completed evaluations using a seven-point Likert scale, later converted to a 0-1 scale. Digital teaching media (e-learning) were used for preparation in both courses.

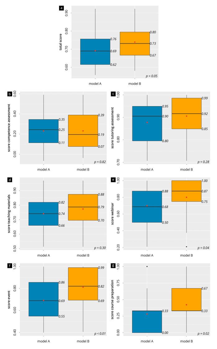
RESULTS

the analysis included = 41 evaluations for Model A and = 30 for Model B. Model B received a better overall assessment (median: 0.73 vs. 0.69, = 0.05). Model B also excelled in "course preparation" ( = 0.02), "webinar quality" ( = 0.04), and "course concept" ( = 0.04). The "gain of competence" ( = 0.82), "learning materials" ( = 0.30), and "tutor quality" ( = 0.28) showed no significant differences.

CONCLUSION

participants favorably assessed blended learning in ultrasound teaching. Certifying institutions should consider accrediting models that combine digital methods (e.g., internet lectures/webinars) and materials (e.g., e-learning) with hands-on ultrasound training. Further research is needed to validate these subjective findings for a stronger evidential basis.

摘要

背景

超声诊断具有广泛的应用范围,包括在肌肉骨骼系统疾病方面。因此,对于使用者来说,在这种动态检查方法方面接受有充分依据且最新的教育很重要。在这种情况下,在线教学和课堂教学之间的正确平衡仍有待探索。认证机构目前正在测试数字化转型的教学理念以提供更多证据。

方法

本研究比较了两种肌肉骨骼超声混合学习模式。模式A更传统,侧重于面对面教学,而模式B更具数字化导向,有强制性网络研讨会。两者都使用电子学习进行预习。参与者使用七点李克特量表完成评估,随后转换为0-1量表。两门课程都使用数字教学媒体(电子学习)进行预习。

结果

分析包括模式A的41份评估和模式B的30份评估。模式B获得了更好的总体评估(中位数:0.73对0.69,P = 0.05)。模式B在“课程预习”(P = 0.02)、“网络研讨会质量”(P = 0.04)和“课程理念”(P = 0.04)方面也表现出色。“能力提升”(P = 0.82)、“学习材料”(P = 0.30)和“导师质量”(P = 0.28)没有显著差异。

结论

参与者对超声教学中的混合学习给予了积极评价。认证机构应考虑认可将数字方法(如网络讲座/网络研讨会)和材料(如电子学习)与实践超声培训相结合的模式。需要进一步研究来验证这些主观发现,以获得更有力的证据基础。

https://cdn.ncbi.nlm.nih.gov/pmc/blobs/d994/10606223/48a2707074fb/diagnostics-13-03272-g003.jpg
https://cdn.ncbi.nlm.nih.gov/pmc/blobs/d994/10606223/046761356c98/diagnostics-13-03272-g001.jpg
https://cdn.ncbi.nlm.nih.gov/pmc/blobs/d994/10606223/4635008660a4/diagnostics-13-03272-g002.jpg
https://cdn.ncbi.nlm.nih.gov/pmc/blobs/d994/10606223/48a2707074fb/diagnostics-13-03272-g003.jpg
https://cdn.ncbi.nlm.nih.gov/pmc/blobs/d994/10606223/046761356c98/diagnostics-13-03272-g001.jpg
https://cdn.ncbi.nlm.nih.gov/pmc/blobs/d994/10606223/4635008660a4/diagnostics-13-03272-g002.jpg
https://cdn.ncbi.nlm.nih.gov/pmc/blobs/d994/10606223/48a2707074fb/diagnostics-13-03272-g003.jpg

相似文献

1
Digital Transformation in Musculoskeletal Ultrasound: Acceptability of Blended Learning.肌肉骨骼超声的数字化转型:混合式学习的可接受性
Diagnostics (Basel). 2023 Oct 20;13(20):3272. doi: 10.3390/diagnostics13203272.
2
[Chances and challenges of increasing digitalization of teaching in the discipline anesthesiology from the perspective of students].从学生视角看麻醉学专业教学日益数字化的机遇与挑战
Anaesthesiologie. 2022 Sep;71(9):689-696. doi: 10.1007/s00101-022-01102-1. Epub 2022 Mar 3.
3
The effectiveness of internet-based e-learning on clinician behavior and patient outcomes: a systematic review protocol.基于互联网的电子学习对临床医生行为和患者结局的有效性:一项系统评价方案。
JBI Database System Rev Implement Rep. 2015 Jan;13(1):52-64. doi: 10.11124/jbisrir-2015-1919.
4
Video-based, student tutor- versus faculty staff-led ultrasound course for medical students - a prospective randomized study.基于视频的,医学生学生导师与教职员工主导的超声课程 - 一项前瞻性随机研究。
BMC Med Educ. 2020 Dec 16;20(1):512. doi: 10.1186/s12909-020-02431-8.
5
Effectiveness of blended learning versus lectures alone on ECG analysis and interpretation by medical students.混合式学习与单纯讲座式教学对医学生心电图分析与解读能力的效果比较
BMC Med Educ. 2020 Dec 3;20(1):488. doi: 10.1186/s12909-020-02403-y.
6
[Which learning methods are expected for ultrasound training? Blended learning on trial].[超声培训期望采用哪些学习方法?混合式学习的试验]
Anaesthesist. 2014 Oct;63(10):745-52. doi: 10.1007/s00101-014-2370-3. Epub 2014 Oct 11.
7
FoCUS cardiac ultrasound training for undergraduates based on current national guidelines: a prospective, controlled, single-center study on transferability.基于现行国家指南的本科生 FoCUS 心脏超声培训:一项关于可转移性的前瞻性、对照、单中心研究。
BMC Med Educ. 2023 Feb 1;23(1):80. doi: 10.1186/s12909-023-04062-1.
8
A study to investigate the impact of a blended learning teaching approach to teach pharmacy law.一项关于探究混合式学习教学方法对药学法规教学影响的研究。
Int J Pharm Pract. 2019 Jun;27(3):303-310. doi: 10.1111/ijpp.12503. Epub 2018 Dec 13.
9
[COVID-19: a chance for digitalization of teaching? : Report of experiences and results of a survey on digitalized teaching in the fields of anesthesiology, intensive care, emergency, pain and palliative medicine at the University of Leipzig].[新型冠状病毒肺炎:教学数字化的契机?:莱比锡大学麻醉学、重症医学、急诊医学、疼痛与姑息医学领域数字化教学的调查经验与结果报告]
Anaesthesist. 2022 May;71(5):340-349. doi: 10.1007/s00101-021-01016-4. Epub 2021 Aug 2.
10
[Digital and innovative teaching in dermatology : Practically oriented teaching online].[皮肤科的数字化与创新教学:以实践为导向的在线教学]
Dermatologie (Heidelb). 2022 Nov;73(11):829-837. doi: 10.1007/s00105-022-05062-w. Epub 2022 Sep 27.

引用本文的文献

1
Prospective comparison of static versus dynamic images in abdominal ultrasound education - a randomised controlled trial.腹部超声教学中静态图像与动态图像的前瞻性比较——一项随机对照试验
BMC Med Educ. 2025 Jul 23;25(1):1102. doi: 10.1186/s12909-025-07711-9.
2
The effectiveness of e-learning in focused cardiac ultrasound training: a prospective controlled study.电子学习在聚焦心脏超声培训中的有效性:一项前瞻性对照研究。
BMC Med Educ. 2025 May 30;25(1):806. doi: 10.1186/s12909-025-07409-y.
3
Ultrasound education in the digital era: face-to-face vs. webinar-teaching of head and neck ultrasound theory-a prospective multi-center study.

本文引用的文献

1
The Current Situation of Musculoskeletal Ultrasound Education: A Systematic Literature Review.肌肉骨骼超声教育的现状:系统文献回顾。
Ultrasound Med Biol. 2023 Jun;49(6):1363-1374. doi: 10.1016/j.ultrasmedbio.2023.02.008. Epub 2023 Mar 21.
2
Digital Training Formats in Ultrasound Diagnostics for physicians: What options are available and how can they be successfully integrated into current DEGUM certified course concepts?面向医生的超声诊断数字培训形式:有哪些可用选项,以及如何将它们成功整合到当前德国超声医学与妇产超声学会(DEGUM)认证的课程概念中?
Ultraschall Med. 2022 Oct;43(5):428-434. doi: 10.1055/a-1900-8166. Epub 2022 Oct 5.
3
数字时代的超声教育:头颈部超声理论的面对面教学与网络研讨会教学——一项前瞻性多中心研究
Front Med (Lausanne). 2025 May 9;12:1506260. doi: 10.3389/fmed.2025.1506260. eCollection 2025.
4
Undergraduate musculoskeletal ultrasound training based on current national guidelines-a prospective controlled study on transferability.基于当前国家指南的本科生肌肉骨骼超声培训——可转移性的前瞻性对照研究。
BMC Med Educ. 2024 Oct 23;24(1):1193. doi: 10.1186/s12909-024-06203-6.
5
Insights Into Modern Undergraduate Ultrasound Education: Prospective Comparison of Digital and Analog Teaching Resources in a Flipped Classroom Concept - The DIvAN Study.现代本科超声教育洞察:翻转课堂理念下数字与模拟教学资源的前瞻性比较——DIvAN研究
Ultrasound Int Open. 2024 Oct 9;10:a23899410. doi: 10.1055/a-2389-9410. eCollection 2024.
6
Development and evaluation of a point-of-care ultrasound curriculum for paramedics in Germany - a prospective observational study and comparison.德国针对护理人员的即时超声课程的开发和评估 - 一项前瞻性观察研究及比较。
BMC Med Educ. 2024 Jul 29;24(1):811. doi: 10.1186/s12909-024-05816-1.
Effectiveness of a case-based digital learning interprofessional workshop involving undergraduates in medical technology, radiological science, and physical therapy: A pre-post intervention study.
基于案例的数字学习跨专业工作坊对医学技术、放射科学和物理治疗专业本科生的效果:一项干预前后研究。
PLoS One. 2022 Jul 26;17(7):e0270864. doi: 10.1371/journal.pone.0270864. eCollection 2022.
4
Assessment Methods in Medical Ultrasound Education.医学超声教育中的评估方法。
Front Med (Lausanne). 2022 Jun 9;9:871957. doi: 10.3389/fmed.2022.871957. eCollection 2022.
5
Point-of-Care Ultrasound Education During a Pandemic: From Webinar to Progressive Dinner-Style Bedside Learning.疫情期间的即时超声教育:从网络研讨会到渐进式晚餐风格的床边学习
Cureus. 2022 May 19;14(5):e25141. doi: 10.7759/cureus.25141. eCollection 2022 May.
6
Design and comparison of a hybrid to a traditional in-person point-of-care ultrasound course.混合式与传统面对面即时超声课程的设计与比较。
Ultrasound J. 2022 Mar 12;14(1):12. doi: 10.1186/s13089-022-00261-x.
7
Webinar During COVID-19 Pandemic: Necessity or Uncontrolled Phenomena?新冠疫情期间的网络研讨会:是必要之举还是失控现象?
World Neurosurg. 2021 Oct;154:186. doi: 10.1016/j.wneu.2021.07.087.
8
Conception and Feasibility of a Digital Tele-Guided Abdomen, Thorax, and Thyroid Gland Ultrasound Course for Medical Students (TELUS study).医学本科生远程数字化腹部、胸部和甲状腺超声课程的构思与可行性研究(TELUS 研究)
Ultraschall Med. 2023 Apr;44(2):194-202. doi: 10.1055/a-1528-1418. Epub 2021 Jul 5.
9
Webinar as Future of Continued Medical Education: a Survey.网络研讨会作为继续医学教育的未来:一项调查
Indian J Surg. 2022 Apr;84(Suppl 1):336-337. doi: 10.1007/s12262-021-02929-5. Epub 2021 May 17.
10
Webinar: A Virtual Reality in Medical Communication.网络研讨会:医学交流中的虚拟现实
J Midlife Health. 2020 Oct-Dec;11(4):185-186. doi: 10.4103/jmh.jmh_289_20. Epub 2021 Jan 21.