Suppr超能文献

数字时代的超声教育:头颈部超声理论的面对面教学与网络研讨会教学——一项前瞻性多中心研究

Ultrasound education in the digital era: face-to-face vs. webinar-teaching of head and neck ultrasound theory-a prospective multi-center study.

作者信息

Weimer Johannes Matthias, Rink Maximilian, Brandt Marie, Symeou Luisa, Ernst Benjamin Philipp, Sproll Christoph, Bozzato Alessandro, Pillong Lukas, Helfrich Johanna, Weimer Andreas, Stäuber Marie, Buggenhagen Holger, Kloeckner Roman, Recker Florian, Beleites Thomas, Mansour Naglaa, Künzel Julian

机构信息

Rudolf Frey Learning Clinic, University Medical Center of the Johannes Gutenberg University Mainz, Mainz, Germany.

Department of Medicine, University Medical Center of the Johannes Gutenberg University Mainz, Mainz, Germany.

出版信息

Front Med (Lausanne). 2025 May 9;12:1506260. doi: 10.3389/fmed.2025.1506260. eCollection 2025.

Abstract

INTRODUCTION

Digitalization offers significant potential benefits to ultrasound education. This study compares the effectiveness of webinar teaching against face-to-face teaching in providing theoretical competencies in certified head and neck ultrasound (HNUS) courses.

PATIENTS AND METHODS

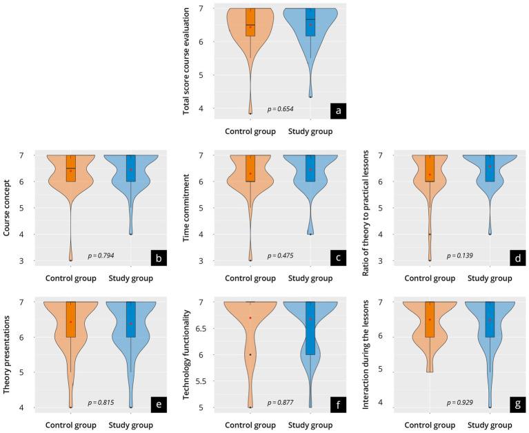
This prospective, controlled, multicenter study was conducted in 2023 at three universities with certified HNUS courses. One course used webinar lessons (S), and the others used face-to-face teaching (C). The control group courses (C) were held on two consecutive days. The first day of the study group course was held as a webinar (S) 1 week before the second day and was also recorded for preparatory purposes. All participants completed three assessments: a pre-course self-evaluation (Evaluation), a post-course self-evaluation (Evaluation), and a post-course theory test (Theory Test). The evaluations used a Likert scale (1-7) to record the participants' subjective assessments of competencies and attitudes toward webinar teaching. Theory Test included multiple-choice and free-answer questions on the sonographic pathologies of lymph nodes, the soft tissue of the neck, and salivary glands. A group of inexperienced medical students (V) completed the Theory Test for validation purposes.

RESULT

128 data sets were analyzed (31 S; 30 C; 47 V). Both groups, S and C, rated their competencies after the courses significantly higher than before ( < 0.01) but at a similar level in comparison with each other ( = 0.34). Both groups supported teaching theoretical content through webinars (S: 6.7 ± 0.5 vs. C: 6.2 ± 0.9). Both groups achieved similar results in the Theory Test ( = 0.54), significantly outperforming the validation group ( < 0.001).

CONCLUSION

Our data suggest that webinars can be an effective alternative to face-to-face lessons in teaching theoretical competencies in HNUS. Participants gave overall positive evaluations of digital teaching methods. Our findings support evidence that digital learning methods are valuable for modern ultrasound education.

摘要

引言

数字化为超声教育带来了巨大的潜在益处。本研究比较了网络研讨会教学与面对面教学在认证头颈超声(HNUS)课程中提供理论能力方面的有效性。

患者与方法

这项前瞻性、对照、多中心研究于2023年在三所开设认证HNUS课程的大学进行。一门课程采用网络研讨会授课(S组),其他课程采用面对面教学(C组)。对照组课程(C组)连续两天进行。研究组课程的第一天在第二天前1周以网络研讨会形式(S组)进行,并且为了预习目的进行了录制。所有参与者完成三项评估:课程前自我评估(评估)、课程后自我评估(评估)以及课程后理论测试(理论测试)。评估采用李克特量表(1 - 7)记录参与者对能力的主观评估以及对网络研讨会教学的态度。理论测试包括关于淋巴结、颈部软组织和唾液腺超声病理的多项选择题和自由回答问题。一组无经验的医学生(V组)为了验证目的完成理论测试。

结果

分析了128个数据集(31个S组;30个C组;47个V组)。S组和C组在课程结束后对自身能力的评分均显著高于课程前(<0.01),但两组之间水平相似(=0.34)。两组都支持通过网络研讨会教授理论内容(S组:6.7±0.5 vs. C组:6.2±0.9)。两组在理论测试中取得了相似的结果(=0.54),显著优于验证组(<0.001)。

结论

我们的数据表明,在HNUS理论能力教学中,网络研讨会可以成为面对面授课的有效替代方式。参与者对数字教学方法总体给予积极评价。我们的研究结果支持了数字学习方法对现代超声教育有价值的证据。

https://cdn.ncbi.nlm.nih.gov/pmc/blobs/19f2/12098340/23e438f1dafd/fmed-12-1506260-g001.jpg

文献检索

告别复杂PubMed语法,用中文像聊天一样搜索,搜遍4000万医学文献。AI智能推荐,让科研检索更轻松。

立即免费搜索

文件翻译

保留排版,准确专业,支持PDF/Word/PPT等文件格式,支持 12+语言互译。

免费翻译文档

深度研究

AI帮你快速写综述,25分钟生成高质量综述,智能提取关键信息,辅助科研写作。

立即免费体验