Suppr超能文献

将年龄分为五年间隔进行分类的特点,以解释老年人的肌肉减少症和免疫细胞。

Characteristics of Age Classification into Five-Year Intervals to Explain Sarcopenia and Immune Cells in Older Adults.

机构信息

Department of Life Sports Education, Kongju National University, Gongju-si 32588, Republic of Korea.

Research Institute of Sports and Industry Science, Hanseo University, Seosan-si 31962, Republic of Korea.

出版信息

Medicina (Kaunas). 2023 Sep 22;59(10):1700. doi: 10.3390/medicina59101700.

Abstract

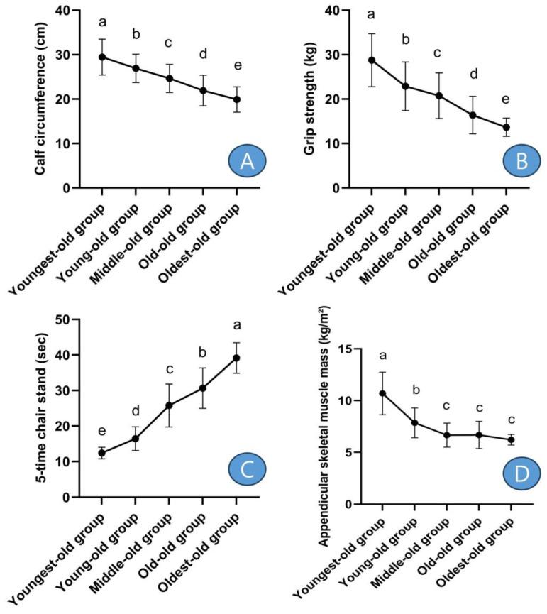
: This study focused on investigating sarcopenic factors and immune cells in older adulthood. To achieve this, the variables related to sarcopenia and immune cells in people living in the same community were analyzed. : A total of 433 elderly individuals aged 61 to 85 years were randomly categorized as follows in 5-year intervals: 68 in the youngest-old group (aged 61-65), 168 in the young-old group (aged 66-70), 127 in the middle-old group (aged 71-75), 46 in the old-old group (aged 76-80), and 19 in the oldest-old group (aged 81-85). : With the progression of age, calf circumference (-8.4 to -11.05%; = 0.001) and grip strength (-9.32 to -21.01%; = 0.001) exhibited a noticeable reduction with each successive 5-year age bracket. Conversely, the capability to complete the five-time chair stand demonstrated a clear incline (32.49 to 56.81%; = 0.001), starting from the middle-aged group. As for appendicular skeletal muscle mass, there was an evident tendency for it to decrease (-7.08 to -26.62%; = 0.001) with increasing age. A gradual decline in natural killer cells became apparent within the old-old and oldest-old groups (-9.28 to -26.27%; = 0.001). The results of the post hoc test revealed that CD3 T cells showcased their peak levels in both the youngest-old and young-old groups. This was followed by the middle-old and old-old groups, with slightly lower levels. This pattern was similarly observed in CD4 T cells, CD8 T cells, and CD19 B cells. : This study reaffirmed that sarcopenia and immune cell function decline with each successive 5-year increase in age. Considering these findings, the importance of implementing programs aimed at ensuring a high-quality extension of life for the elderly is strongly underscored.

摘要

本研究旨在探讨老年人群中的肌肉减少症相关因素和免疫细胞。为此,分析了居住在同一社区的人群中与肌肉减少症和免疫细胞相关的变量。

共有 433 名年龄在 61 至 85 岁的老年人,以 5 年为间隔分为 5 组:最年轻的老年人组(61-65 岁)68 人,年轻的老年人组(66-70 岁)168 人,中年老年人组(71-75 岁)127 人,年长的老年人组(76-80 岁)46 人,最年长的老年人组(81-85 岁)19 人。

随着年龄的增长,小腿围(-8.4 至-11.05%; = 0.001)和握力(-9.32 至-21.01%; = 0.001)在每个连续的 5 年年龄组中都有明显下降。相反,五次椅子站立的能力从中年组开始明显上升(32.49 至 56.81%; = 0.001)。四肢骨骼肌质量明显减少(-7.08 至-26.62%; = 0.001)。自然杀伤细胞随着年龄的增长逐渐减少,在老老年和最老年组中明显减少(-9.28 至-26.27%; = 0.001)。事后检验的结果表明,CD3 T 细胞在最年轻的老年人和年轻的老年人组中达到峰值,然后是中年和老年组,水平略低。CD4 T 细胞、CD8 T 细胞和 CD19 B 细胞也表现出类似的模式。

本研究再次证实,肌肉减少症和免疫细胞功能随着每 5 年的年龄增长而下降。考虑到这些发现,强烈强调实施旨在确保老年人高质量延长寿命的方案的重要性。

https://cdn.ncbi.nlm.nih.gov/pmc/blobs/f93d/10607932/74a8102f9eba/medicina-59-01700-g001.jpg

文献AI研究员

20分钟写一篇综述,助力文献阅读效率提升50倍。

立即体验

用中文搜PubMed

大模型驱动的PubMed中文搜索引擎

马上搜索

文档翻译

学术文献翻译模型,支持多种主流文档格式。

立即体验