• 文献检索
  • 文档翻译
  • 深度研究
  • 学术资讯
  • Suppr Zotero 插件Zotero 插件
  • 邀请有礼
  • 套餐&价格
  • 历史记录
应用&插件
Suppr Zotero 插件Zotero 插件浏览器插件Mac 客户端Windows 客户端微信小程序
定价
高级版会员购买积分包购买API积分包
服务
文献检索文档翻译深度研究API 文档MCP 服务
关于我们
关于 Suppr公司介绍联系我们用户协议隐私条款
关注我们

Suppr 超能文献

核心技术专利:CN118964589B侵权必究
粤ICP备2023148730 号-1Suppr @ 2026

文献检索

告别复杂PubMed语法,用中文像聊天一样搜索,搜遍4000万医学文献。AI智能推荐,让科研检索更轻松。

立即免费搜索

文件翻译

保留排版,准确专业,支持PDF/Word/PPT等文件格式,支持 12+语言互译。

免费翻译文档

深度研究

AI帮你快速写综述,25分钟生成高质量综述,智能提取关键信息,辅助科研写作。

立即免费体验

丧偶与老年人脉压、空腹血糖和心理健康的关系:倾向评分匹配分析。

Relationship of widowhood with pulse pressure, fasting blood glucose, and mental health in older adults: a propensity matching score analysis.

机构信息

Department of Science and Education, Nantong First People's Hospital, Nantong, China.

Department of Biobank, Nantong First People's Hospital, Nantong, China.

出版信息

Front Public Health. 2023 Oct 25;11:1257133. doi: 10.3389/fpubh.2023.1257133. eCollection 2023.

DOI:10.3389/fpubh.2023.1257133
PMID:37954046
原文链接:https://pmc.ncbi.nlm.nih.gov/articles/PMC10634533/
Abstract

BACKGROUND

Transitioning from marriage to widowhood presents inevitable and significant challenges for many older adults. This study explored the impact of widowhood on a range of mental health outcomes, including pulse pressure and fasting blood glucose levels, among older adults in nursing homes.

METHODS

This cross-sectional study utilized cluster random sampling to recruit participants, with data analyzed from 388 older Chinese adults. Psychosocial traits were assessed using the Perceived Social Support from Family scale (PSS-Fa) for family support, the Generalized Anxiety Disorder 7-item scale (GAD-7) for anxiety symptoms, and the 9-item Patient Health Questionnaire (PHQ-9) for depressive symptoms and suicidal ideation. Propensity score matching (PSM) was employed to control for confounding factors. A multivariate linear regression analysis was performed to explore the relationship between widowhood, mental health outcomes, pulse pressure, and fasting blood glucose levels.

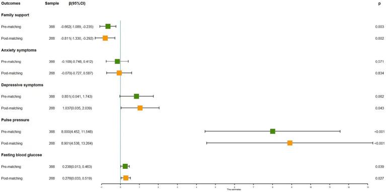
RESULTS

After applying PSM, the sample size was refined to 268 ( = 134 for both married and widowed groups) from the initial 388, excluding 120 unmatched cases. Widowed older adults were found to have notably lower family support ( = -0.81,  = 0.002), increased depressive symptoms ( = 1.04,  = 0.043), elevated pulse pressure ( = 8.90,  < 0.001), and higher fasting blood glucose levels ( = 3.22,  = 0.027). These associations exhibited greater beta values compared to pre-matching analysis.

CONCLUSION

Our findings revealed that widowed participants had reduced family support, an increased risk of depressive symptoms, heightened pulse pressure, and elevated fasting blood glucose in comparison to their married counterparts. Interventions focusing on social support, mental health, and cardiovascular well-being could be advantageous for this at-risk group.

摘要

背景

从婚姻过渡到丧偶状态会给许多老年人带来不可避免的重大挑战。本研究探讨了丧偶对养老院中老年人一系列心理健康结果的影响,包括脉压和空腹血糖水平。

方法

这项横断面研究采用聚类随机抽样招募参与者,对 388 名中国老年人进行数据分析。使用家庭感知社会支持量表(PSS-Fa)评估心理社会特征,用于家庭支持;广泛性焦虑症 7 项量表(GAD-7)评估焦虑症状;9 项患者健康问卷(PHQ-9)评估抑郁症状和自杀意念。采用倾向评分匹配(PSM)来控制混杂因素。采用多元线性回归分析探讨丧偶、心理健康结果、脉压和空腹血糖水平之间的关系。

结果

应用 PSM 后,从最初的 388 例中剔除了 120 例不匹配的病例,样本量从 388 例缩小到 268 例(已婚和丧偶组各 134 例)。与已婚老年人相比,丧偶老年人的家庭支持明显较低( = -0.81, = 0.002),抑郁症状增加( = 1.04, = 0.043),脉压升高( = 8.90, < 0.001),空腹血糖水平升高( = 3.22, = 0.027)。与匹配前分析相比,这些关联的β值更大。

结论

我们的研究结果表明,与已婚参与者相比,丧偶参与者的家庭支持减少,抑郁症状风险增加,脉压升高,空腹血糖水平升高。针对社会支持、心理健康和心血管健康的干预措施可能对这一高危人群有益。

https://cdn.ncbi.nlm.nih.gov/pmc/blobs/0b4c/10634533/254e44a62b1a/fpubh-11-1257133-g003.jpg
https://cdn.ncbi.nlm.nih.gov/pmc/blobs/0b4c/10634533/bb23599cef18/fpubh-11-1257133-g001.jpg
https://cdn.ncbi.nlm.nih.gov/pmc/blobs/0b4c/10634533/bb6d96fb2c9a/fpubh-11-1257133-g002.jpg
https://cdn.ncbi.nlm.nih.gov/pmc/blobs/0b4c/10634533/254e44a62b1a/fpubh-11-1257133-g003.jpg
https://cdn.ncbi.nlm.nih.gov/pmc/blobs/0b4c/10634533/bb23599cef18/fpubh-11-1257133-g001.jpg
https://cdn.ncbi.nlm.nih.gov/pmc/blobs/0b4c/10634533/bb6d96fb2c9a/fpubh-11-1257133-g002.jpg
https://cdn.ncbi.nlm.nih.gov/pmc/blobs/0b4c/10634533/254e44a62b1a/fpubh-11-1257133-g003.jpg

相似文献

1
Relationship of widowhood with pulse pressure, fasting blood glucose, and mental health in older adults: a propensity matching score analysis.丧偶与老年人脉压、空腹血糖和心理健康的关系:倾向评分匹配分析。
Front Public Health. 2023 Oct 25;11:1257133. doi: 10.3389/fpubh.2023.1257133. eCollection 2023.
2
Widowhood, social networks, and mental health among Chinese older adults: The moderating effects of gender.中国老年人的丧偶、社会网络与心理健康:性别的调节作用
Front Psychol. 2023 Apr 3;14:1142036. doi: 10.3389/fpsyg.2023.1142036. eCollection 2023.
3
The protective influence of family support on anxiety, depressive symptoms, and suicidal ideation among elderly Chinese nursing home residents: A study of serial mediation.家庭支持对中国老年养老院居民焦虑、抑郁症状及自杀意念的保护作用:一项系列中介研究
Medicine (Baltimore). 2024 Jan 26;103(4):e36930. doi: 10.1097/MD.0000000000036930.
4
Widowhood and depressive symptoms among Korean elders: the role of social ties.寡居与韩国老年人的抑郁症状:社会关系的作用。
J Gerontol B Psychol Sci Soc Sci. 2013 Nov;68(6):963-73. doi: 10.1093/geronb/gbt084.
5
Associations of Widowhood and β-Amyloid With Cognitive Decline in Cognitively Unimpaired Older Adults.丧偶和β-淀粉样蛋白与认知正常老年人认知能力下降的关系。
JAMA Netw Open. 2020 Feb 5;3(2):e200121. doi: 10.1001/jamanetworkopen.2020.0121.
6
Widowhood and Mortality Among Chinese Older Adults in Singapore: The Roles of Gender and Perceived Social Support.新加坡华裔老年人中的丧偶与死亡率:性别及感知到的社会支持的作用
J Gerontol B Psychol Sci Soc Sci. 2023 Mar 4;78(3):532-543. doi: 10.1093/geronb/gbac171.
7
Marital status, widowhood duration, gender and health outcomes: a cross-sectional study among older adults in India.婚姻状况、丧偶持续时间、性别与健康结果:印度老年人的一项横断面研究。
BMC Public Health. 2016 Sep 30;16(1):1032. doi: 10.1186/s12889-016-3682-9.
8
Social participation, psychological resilience and depression among widowed older adults in China.中国丧偶老年人的社会参与、心理弹性与抑郁
BMC Geriatr. 2023 Jul 24;23(1):454. doi: 10.1186/s12877-023-04168-7.
9
Intrinsic association of widowhood with mortality in community-dwelling older women and men: findings from a prospective propensity-matched population study.寡居与社区居住的老年男女死亡率的内在关联:来自前瞻性倾向匹配人群研究的发现。
J Gerontol A Biol Sci Med Sci. 2011 Dec;66(12):1360-8. doi: 10.1093/gerona/glr144. Epub 2011 Sep 7.
10
Widowhood and Health Status Among Chinese Older Adults: The Mediation Effects of Different Types of Support.寡居与中国老年人健康状况:不同类型支持的中介作用。
Front Public Health. 2021 Nov 17;9:745073. doi: 10.3389/fpubh.2021.745073. eCollection 2021.

引用本文的文献

1
Construction and validation of a predictive model for suicidal ideation in non-psychiatric elderly inpatients.非精神科老年住院患者自杀意念预测模型的构建与验证
BMC Geriatr. 2025 May 9;25(1):322. doi: 10.1186/s12877-025-05980-z.
2
Oxidative stress and inflammation mediate the association between Life's Crucial 9 and biological ageing: A secondary analysis of two observational studies.氧化应激和炎症介导了生命关键9项与生物衰老之间的关联:两项观察性研究的二次分析
J Nutr Health Aging. 2025 May 6;29(7):100575. doi: 10.1016/j.jnha.2025.100575.
3
Inter-relationships of depression and anxiety symptoms among widowed and non-widowed older adults: findings from the Chinese Longitudinal Healthy Longevity Survey based on network analysis and propensity score matching.

本文引用的文献

1
The effect of widowhood on depression of caregivers.丧偶对照顾者抑郁的影响。
BMC Health Serv Res. 2023 Jul 3;23(1):722. doi: 10.1186/s12913-023-09746-4.
2
The impact of pension insurance types on the health of older adults in China: a study based on the 2018 CHARLS data.养老保险类型对中国老年人健康的影响:基于 2018 年 CHARLS 数据的研究。
Front Public Health. 2023 Jun 2;11:1180024. doi: 10.3389/fpubh.2023.1180024. eCollection 2023.
3
Effect of widowhood on the risk of disability among the elderly in China.丧偶对中国老年人残疾风险的影响。
丧偶和非丧偶老年人抑郁与焦虑症状的相互关系:基于网络分析和倾向得分匹配的中国老年健康长寿纵向调查结果
Front Public Health. 2025 Mar 12;13:1495284. doi: 10.3389/fpubh.2025.1495284. eCollection 2025.
4
"Time without you": Transition to widowhood and its impact on time perspective and attitudes toward the future.“没有你的时光”:向丧偶状态的转变及其对时间观念和未来态度的影响。
Eur J Ageing. 2025 Feb 13;22(1):3. doi: 10.1007/s10433-025-00842-4.
Front Psychiatry. 2023 May 18;14:1169952. doi: 10.3389/fpsyt.2023.1169952. eCollection 2023.
4
The impact of widowhood on mental health of older adults.丧偶对老年人心理健康的影响。
Geriatr Nurs. 2023 Mar-Apr;50:38-43. doi: 10.1016/j.gerinurse.2022.12.019. Epub 2023 Jan 13.
5
Prevalence of and Factors Associated with Negative Psychological Symptoms among Elderly Widows Living Alone in a Chinese Remote Sample: A Cross-Sectional Study.中国偏远地区独居老年丧偶妇女负面心理症状的流行状况及相关因素:一项横断面研究。
Int J Environ Res Public Health. 2022 Dec 24;20(1):264. doi: 10.3390/ijerph20010264.
6
[Status and Influencing Factors of Hypertension in the Elderly Aged 60 and Above in Mianyang].[绵阳60岁及以上老年人高血压的现状及影响因素]
Zhongguo Yi Xue Ke Xue Yuan Xue Bao. 2022 Oct;44(5):802-808. doi: 10.3881/j.issn.1000-503X.14695.
7
Mental health status and associated contributing factors among the Hakka elderly in Fujian, China.中国福建客家老年人群的心理健康状况及相关影响因素。
Front Public Health. 2022 Jul 22;10:928880. doi: 10.3389/fpubh.2022.928880. eCollection 2022.
8
Urbanization and population aging: Converging trends of demographic transitions in modern world.城市化与人口老龄化:现代世界人口转变的趋同趋势
Arch Gerontol Geriatr. 2022 Jul-Aug;101:104709. doi: 10.1016/j.archger.2022.104709. Epub 2022 Apr 21.
9
Pulse pressure is associated with cognitive performance in Japanese non-demented population: a cross-sectional study.脉压与日本非痴呆人群的认知表现相关:一项横断面研究。
BMC Neurol. 2022 Apr 11;22(1):137. doi: 10.1186/s12883-022-02666-6.
10
Widowhood and Life Satisfaction Among Chinese Elderly Adults: The Influences of Lifestyles and Number of Children.丧偶与中国老年人的生活满意度:生活方式和子女数量的影响。
Front Public Health. 2022 Jan 26;9:754681. doi: 10.3389/fpubh.2021.754681. eCollection 2021.