Beydon Maxime, Pinto Sandrine, De Rycke Yann, Fautrel Bruno, Mariette Xavier, Seror Raphaèle, Tubach Florence
Sorbonne Université, INSERM, Institut Pierre Louis d'Epidémiologie et de Santé Publique, F75013, Paris, France.
Sorbonne Université, INSERM, Institut Pierre Louis d'Epidémiologie et de Santé Publique, AP-HP, Hôpital Pitié Salpêtrière, Département de Santé Publique, Centre de Pharmacoépidémiologie (Cephepi), CIC-1901, F75013, Paris, France.
Lancet Reg Health Eur. 2023 Oct 30;35:100768. doi: 10.1016/j.lanepe.2023.100768. eCollection 2023 Dec.
Older studies uncovered an increased risk of cancer in patients with rheumatoid arthritis between 10% and 30% compared to the general population, with a lack of data concerning infrequent cancers. In recent year, major therapeutic breakthroughs might have affected this risk of cancer by mitigating disease activity or on the contrary by impairing antitumoral immune response. The objectives of this study are to compare cancer risk in patients with treated rheumatoid arthritis to the general population, in all treated patients and according to treatment exposure.
This is a nationwide population-based study within the French national claims database "Système National des Données de Santé" (SNDS) between January 1st 2010 and December 31st 2020, to estimate the age and sex-standardized incidence ratios of cancer (all sites and site specific) of treated rheumatoid arthritis patients, with the French population as reference (by use of the French Network of Population-Based Cancer Registries [FRANCIM]).
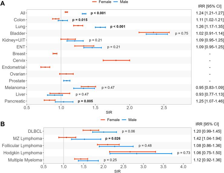
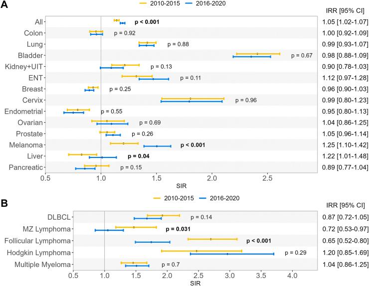
During the study period, 257,074 treated patients with rheumatoid arthritis contributed to a total of 2,098,238 person-years for the main analysis. The all-cancer risk was increased in rheumatoid arthritis patients, with a SIR (Standardized Incidence Ratio) of 1.20 (95% CI [1.17-1.23]). This risk was increased particularly for lung (SIR 1.41, 95% CI [1.36-1.46], bladder (SIR 2.38 95% CI [2.25-2.51]), cervix (SIR 1.80, 95% CI [1.62-2.01]), prostate (SIR 1.08, 95% CI [1.04, 1.13]) cancers, melanoma (SIR 1.37, 95% CI [1.29-1.46]), diffuse large B cell lymphoma (SIR 1.79, 95% CI [1.63-1.96], multiple myeloma (SIR 1.42, 95% CI [1.27-1.60]) and Hodgkin's lymphoma (SIR 2.73, 95% CI [2.31-3.23]). Some cancers were less frequent than in the general population such as pancreatic (SIR 0.90, 95% CI [0.83-0.97]) as well as breast and endometrial cancers (SIR 0.91, 95% CI [0.88-0.94] and SIR 0.77, 95% CI [0.71-0.84] respectively). Although we observed a modest but significant relative increase of all-cancer risk over-time in rheumatoid arthritis patients, there was a trend towards a decrease in risk of non-Hodgkin's lymphoma. Patients treated with rituximab were the patients displaying the highest risk of cancer.
Compared to the general population, treated rheumatoid arthritis patients were at greater risk of all-cancer and some site specific cancers, except for breast, pancreatic and endometrial cancers which were less frequent than in the general population.
This work was supported by unrestricted grants from the InCA (national institute against cancer) and AP-HP (Assistance Publique des Hôpitaux de Paris).
早期研究发现,类风湿关节炎患者患癌风险较普通人群增加了10%至30%,但关于罕见癌症的数据较少。近年来,重大治疗突破可能通过减轻疾病活动或相反地通过损害抗肿瘤免疫反应来影响这种患癌风险。本研究的目的是比较接受治疗的类风湿关节炎患者与普通人群的患癌风险,包括所有接受治疗的患者以及根据治疗暴露情况进行比较。
这是一项基于法国全国索赔数据库“国家卫生数据系统”(SNDS)的全国性人群研究,研究时间为2010年1月1日至2020年12月31日,以法国人群为参照(通过法国基于人群的癌症登记网络[FRANCIM]),估计接受治疗的类风湿关节炎患者癌症(所有部位及特定部位)的年龄和性别标准化发病率比。
在研究期间,257,074名接受治疗的类风湿关节炎患者纳入主要分析,总计2,098,238人年。类风湿关节炎患者的总体患癌风险增加,标准化发病率比(SIR)为1.20(95%置信区间[1.17 - 1.23])。肺癌(SIR 1.41,95%置信区间[1.36 - 1.46])、膀胱癌(SIR 2.38,95%置信区间[2.25 - 2.51])、子宫颈癌(SIR 1.80,95%置信区间[1.62 - 2.01])、前列腺癌(SIR 1.08,95%置信区间[1.04, 1.13])、黑色素瘤(SIR 1.37,95%置信区间[1.29 - 1.46])、弥漫性大B细胞淋巴瘤(SIR 1.79,95%置信区间[1.63 - 1.96])、多发性骨髓瘤(SIR