Suppr超能文献

蛋白质组学与健康泰国受试者威斯康星卡片分类测试表现中年龄相关的性别差异的关联。

Proteomic association with age-dependent sex differences in Wisconsin Card Sorting Test performance in healthy Thai subjects.

机构信息

Medical Science Graduate Program, Faculty of Medical Science, Naresuan University, Phitsanulok, Thailand.

Faculty of Medicine, Bangkokthonburi University, Bangkok, Thailand.

出版信息

Sci Rep. 2023 Nov 19;13(1):20238. doi: 10.1038/s41598-023-46750-4.

Abstract

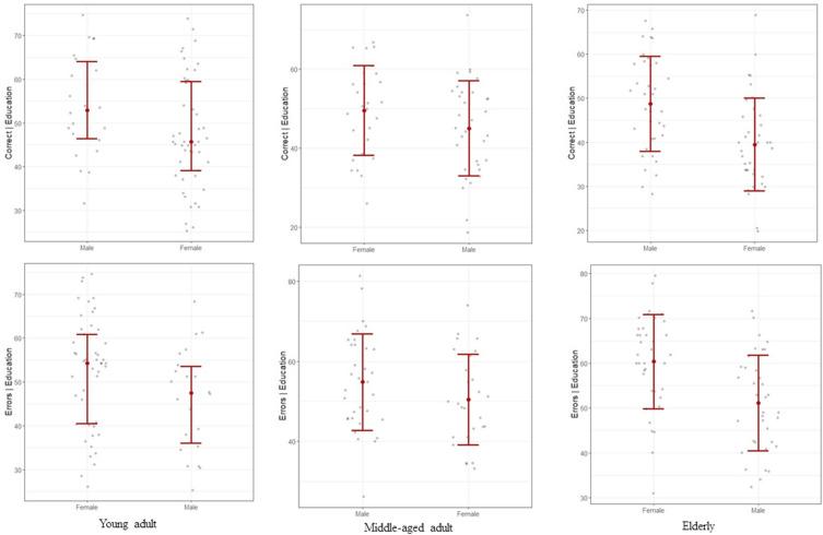
Sex differences in cognitive function exist, but they are not stable and undergo dynamic change during the lifespan. However, our understanding of how sex-related neural information transmission evolves with age is still in its infancy. This study utilized the Wisconsin Card Sorting Test (WCST) and the label-free proteomics method with bioinformatic analysis to investigate the molecular mechanisms underlying age-related sex differences in cognitive performance in 199 healthy Thai subjects (aged 20-70 years), as well as explore the sex-dependent protein complexes for predicting cognitive aging. The results showed that males outperformed females in two of the five WCST sub-scores: %Corrects and %Errors. Sex differences in these scores were related to aging, becoming noticeable in those over 60. At the molecular level, differently expressed individual proteins and protein complexes between both sexes are associated with the potential N-methyl-D-aspartate type glutamate receptor (NMDAR)-mediated excitotoxicity, with the NMDAR complex being enriched exclusively in elderly female samples. These findings provided a preliminary indication that healthy Thai females might be more susceptible to such neurotoxicity, as evidenced by their cognitive performance. NMDAR protein complex enrichment in serum could be proposed as a potential indication for predicting cognitive aging in healthy Thai females.

摘要

性别在认知功能上存在差异,但这种差异并不稳定,并且在整个生命周期中会发生动态变化。然而,我们对于与性别相关的神经信息传递如何随年龄演变的理解还处于初级阶段。本研究采用威斯康星卡片分类测试(WCST)和无标签蛋白质组学方法结合生物信息学分析,研究了 199 名健康泰国受试者(年龄 20-70 岁)认知表现的年龄相关性别差异的分子机制,并探索了预测认知老化的性别依赖蛋白复合物。结果表明,在 WCST 的五个子评分中,有两个评分男性优于女性:%Corrects 和 %Errors。这些评分中的性别差异与衰老有关,在 60 岁以上的人群中变得明显。在分子水平上,两性之间表达不同的个体蛋白和蛋白复合物与潜在的 N-甲基-D-天冬氨酸型谷氨酸受体(NMDAR)介导的兴奋性毒性有关,而 NMDAR 复合物仅在老年女性样本中富集。这些发现初步表明,健康的泰国女性可能更容易受到这种神经毒性的影响,这可以从她们的认知表现中得到证明。血清中 NMDAR 蛋白复合物的富集可以作为预测健康泰国女性认知老化的潜在指标。

https://cdn.ncbi.nlm.nih.gov/pmc/blobs/beac/10658079/d46e6e37c75d/41598_2023_46750_Fig1_HTML.jpg

文献AI研究员

20分钟写一篇综述,助力文献阅读效率提升50倍。

立即体验

用中文搜PubMed

大模型驱动的PubMed中文搜索引擎

马上搜索

文档翻译

学术文献翻译模型,支持多种主流文档格式。

立即体验