Chu Yutan, Bao Qiongli, Li Yan, Sun Hongyu, Liu Zewei, Shi Jiahao, Huang Yizong
Key Laboratory of Original Agro-Environmental Pollution Prevention and Control, Agro-Environmental Protection Institute, Ministry of Agriculture and Rural Affairs, Tianjing 300191, China.
Tianjin Key Laboratory of Agro-Environment and Agro-Product Safety, Agro-Environmental Protection Institute, Ministry of Agriculture and Rural Affairs, Tianjin 300191, China.
Antioxidants (Basel). 2023 Oct 26;12(11):1917. doi: 10.3390/antiox12111917.
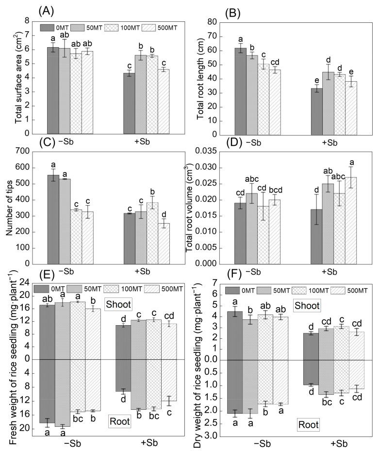
Antimony (Sb) is a hazardous metal element that is potentially toxic and carcinogenic. Melatonin (MT) is an indole compound with antioxidant properties that plays an essential role in plant growth and alleviates heavy metal stresses. Nevertheless, little is known about the effects and mechanisms of exogenous MT action on rice under Sb stress. The aim of this experiment was to explore the mechanism of MT reducing Sb toxicity in rice via hydroponics. The results showed that Sb stress significantly inhibited the growth of rice, including biomass, root parameters, and root viability. Exogenous MT obviously alleviated the inhibition of Sb stress on seedling growth and increased biomass, root parameters, and root viability by 15-55%. MT significantly reduced the total Sb content in rice and the subcellular Sb contents in roots by nearly 20-40% and 12.3-54.2% under Sb stress, respectively. MT significantly decreased the contents of malondialdehyde (MDA, by nearly 50%), ROS (HO and O·, by nearly 20-30%), and RNS (NO and ONOO) in roots under Sb stress, thus reducing oxidative stress and cell membrane damage. Furthermore, MT reversed Sb-induced phytotoxicity by increasing the activities of antioxidant enzymes (SOD, POD, CAT, and APX) by nearly 15% to 50% and by regulating the AsA-GSH cycle. In conclusion, this study demonstrates the potential of MT to maintain redox homeostasis and reduce Sb toxicity in rice cells, decreasing the content of Sb in rice and thereby alleviating the inhibition of Sb on rice growth. The results provided a feasible strategy for mitigating Sb toxicity in rice.
锑(Sb)是一种具有潜在毒性和致癌性的有害金属元素。褪黑素(MT)是一种具有抗氧化特性的吲哚化合物,在植物生长中起重要作用,并能缓解重金属胁迫。然而,关于外源MT在锑胁迫下对水稻的作用及其机制知之甚少。本实验旨在通过水培法探究MT降低水稻中锑毒性的机制。结果表明,锑胁迫显著抑制了水稻的生长,包括生物量、根系参数和根系活力。外源MT明显缓解了锑胁迫对幼苗生长的抑制作用,使生物量、根系参数和根系活力提高了15%-55%。在锑胁迫下,MT显著降低了水稻中的总锑含量以及根系中的亚细胞锑含量,分别降低了近20%-40%和12.3%-54.2%。MT显著降低了锑胁迫下根系中丙二醛(MDA,降低近50%)、活性氧(HO和O·,降低近20%-30%)和活性氮(NO和ONOO)的含量,从而减轻了氧化应激和细胞膜损伤。此外,MT通过将抗氧化酶(SOD、POD、CAT和APX)的活性提高近15%至50%并调节AsA-GSH循环,逆转了锑诱导的植物毒性。总之,本研究证明了MT在维持水稻细胞氧化还原稳态和降低锑毒性方面的潜力,降低了水稻中锑的含量,从而减轻了锑对水稻生长的抑制作用。这些结果为减轻水稻中的锑毒性提供了一种可行的策略。