Suppr超能文献

昼夜节律钟基因在牛神经内分泌肾上腺系统中的差异表达。

Differential Expression of Circadian Clock Genes in the Bovine Neuroendocrine Adrenal System.

机构信息

Department of Animal Science, Texas A&M University, College Station, TX 77843, USA.

Texas A&M AgriLife Research Center, Overton, TX 75684, USA.

出版信息

Genes (Basel). 2023 Nov 15;14(11):2082. doi: 10.3390/genes14112082.

Abstract

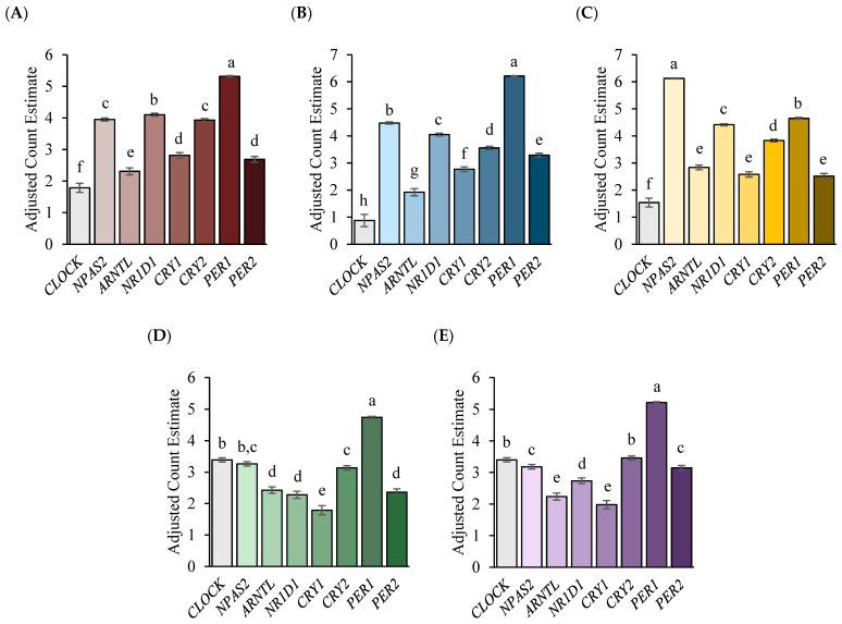
Knowledge of circadian rhythm clock gene expression outside the suprachiasmatic nucleus is increasing. The purpose of this study was to determine whether expression of circadian clock genes differed within or among the bovine stress axis tissues (e.g., amygdala, hypothalamus, pituitary, adrenal cortex, and adrenal medulla). Tissues were obtained at an abattoir from eight mature nonpregnant Brahman cows that had been maintained in the same pasture and nutritional conditions. Sample tissues were stored in RNase-free sterile cryovials at -80 °C until the total RNA was extracted, quantified, assessed, and sequenced (NovaSeq 6000 system; paired-end 150 bp cycles). The trimmed reads were then mapped to a () reference genome (Umd3.1). Further analysis used the edgeR package. Raw gene count tables were read into RStudio, and low-expression genes were filtered out using the criteria of three minimum reads per gene in at least five samples. Normalization factors were then calculated using the trimmed mean of M values method to produce normalized gene counts within each sample tissue. The normalized gene counts important for a circadian rhythm were analyzed within and between each tissue of the stress axis using the GLM and CORR procedures of the Statistical Analysis System (SAS). The relative expression profiles of circadian clock genes differed ( < 0.01) within each tissue, with neuronal PAS domain protein 2 () having greater expression in the amygdala ( < 0.01) and period circadian regulator () having greater expression in all other tissues ( < 0.01). The expression among tissues also differed ( < 0.01) for individual circadian clock genes, with circadian locomotor output cycles protein kaput () expression being greater within the adrenal tissues and nuclear receptor subfamily 1 group D member 1 () expression being greater within the other tissues ( < 0.01). Overall, the results indicate that within each tissue, the various circadian clock genes were differentially expressed, in addition to being differentially expressed among the stress tissues of mature Brahman cows. Future use of these findings may assist in improving livestock husbandry and welfare by understanding interactions of the environment, stress responsiveness, and peripheral circadian rhythms.

摘要

circadian clock 基因在视交叉上核以外的表达模式的知识正在不断增加。本研究的目的是确定昼夜节律钟基因在牛应激轴组织(如杏仁核、下丘脑、垂体、肾上腺皮质和肾上腺髓质)内或组织间是否存在差异表达。从一个屠宰场获得了 8 头成熟的非妊娠婆罗门牛的组织,这些牛在相同的牧场和营养条件下饲养。组织样本储存在无 RNA 酶的无菌 cryovials 中,在-80°C 直到提取、定量、评估和测序总 RNA(NovaSeq 6000 系统;配对末端 150bp 循环)。修剪后的读数然后被映射到一个()参考基因组(Umd3.1)。进一步的分析使用了 edgeR 包。将原始基因计数表读入 RStudio,并使用每个基因至少 5 个样本中有 3 个最小读数的标准过滤出低表达基因。然后使用 M 值均值法计算标准化因子,以在每个组织样本内产生标准化基因计数。使用统计分析系统(SAS)的 GLM 和 CORR 程序,分析应激轴各组织内和组织间与昼夜节律相关的重要基因表达。昼夜节律钟基因的相对表达谱在每个组织内(<0.01)存在差异,神经元 PAS 域蛋白 2()在杏仁核中的表达更高(<0.01),周期节律调节器()在所有其他组织中的表达更高(<0.01)。单个昼夜节律钟基因在组织间的表达也存在差异(<0.01),昼夜节律运动输出周期蛋白 kaput()在肾上腺组织中的表达更高,核受体亚家族 1 组 D 成员 1()在其他组织中的表达更高(<0.01)。总之,这些结果表明,在每个组织内,各种昼夜节律钟基因的表达存在差异,除了在成熟婆罗门牛的应激组织间存在差异表达。未来利用这些发现,通过了解环境、应激反应和外周昼夜节律之间的相互作用,可能有助于改善家畜养殖和福利。

https://cdn.ncbi.nlm.nih.gov/pmc/blobs/c157/10670998/b68d1fc431b5/genes-14-02082-g001.jpg

文献AI研究员

20分钟写一篇综述,助力文献阅读效率提升50倍。

立即体验

用中文搜PubMed

大模型驱动的PubMed中文搜索引擎

马上搜索

文档翻译

学术文献翻译模型,支持多种主流文档格式。

立即体验