Lee Chung Hyeon, Ko Min Sung, Kim Ye Seul, Ham Ju Eon, Choi Jee Yeon, Hwang Kwang Woo, Park So-Young
College of Pharmacy, Dankook University, Cheonan 31116, Republic of Korea.
College of Pharmacy, Chung-Ang University, Seoul 06974, Republic of Korea.
Pharmaceuticals (Basel). 2023 Nov 14;16(11):1606. doi: 10.3390/ph16111606.
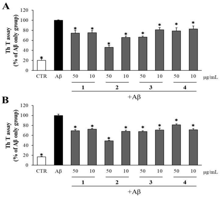
Beta-amyloid (Aβ) proteins, major contributors to Alzheimer's disease (AD), are overproduced and accumulate as oligomers and fibrils. These protein accumulations lead to significant changes in neuronal structure and function, ultimately resulting in the neuronal cell death observed in AD. Consequently, substances that can inhibit Aβ production and/or accumulation are of great interest for AD prevention and treatment. In the course of an ongoing search for natural products, the roots of T. Moore ex Baker were selected as a promising candidate with anti-amyloidogenic effects. The ethanol extract of roots, along with its active constituents, not only markedly reduced Aβ production by decreasing β-secretase expression in APP-CHO cells (Chinese hamster ovary cells which stably express amyloid precursor proteins), but also exhibited the ability to diminish Aβ aggregation while enhancing the disaggregation of Aβ aggregates, as determined through the Thioflavin T (Th T) assay. Furthermore, in an in vivo study, the extract of roots showed potential (a tendency) for mitigating scopolamine-induced memory impairment, as evidenced by results from the Morris water maze test and the passive avoidance test, which correlated with reduced Aβ deposition. Additionally, the levels of acetylcholine were significantly elevated, and acetylcholinesterase levels significantly decreased in the brains of mice (whole brains). The treatment with the extract of roots also led to upregulated brain-derived neurotrophic factor (BDNF) and phospho-cAMP response element-binding protein (p-CREB) in the hippocampal region. These findings suggest that the extract of roots, along with its active constituents, may offer neuroprotective effects against AD. Consequently, there is potential for the development of the extract of roots and its active constituents as effective therapeutic or preventative agents for AD.
β-淀粉样蛋白(Aβ)是阿尔茨海默病(AD)的主要致病因素,其产生过多并以寡聚体和原纤维的形式积累。这些蛋白质积累会导致神经元结构和功能发生显著变化,最终导致AD中观察到的神经元细胞死亡。因此,能够抑制Aβ产生和/或积累的物质对于AD的预防和治疗具有重要意义。在持续寻找天然产物的过程中,T. Moore ex Baker的根被选为具有抗淀粉样蛋白生成作用的有前景的候选物。该根的乙醇提取物及其活性成分不仅通过降低APP-CHO细胞(稳定表达淀粉样前体蛋白的中国仓鼠卵巢细胞)中β-分泌酶的表达显著减少Aβ的产生,而且通过硫黄素T(ThT)测定法确定,还表现出减少Aβ聚集同时增强Aβ聚集体解聚的能力。此外,在一项体内研究中,该根的提取物显示出减轻东莨菪碱诱导的记忆障碍的潜力(一种趋势),莫里斯水迷宫试验和被动回避试验的结果证明了这一点,这与Aβ沉积减少相关。此外,小鼠(全脑)大脑中的乙酰胆碱水平显著升高,乙酰胆碱酯酶水平显著降低。用该根的提取物处理还导致海马区脑源性神经营养因子(BDNF)和磷酸化cAMP反应元件结合蛋白(p-CREB)上调。这些发现表明,该根的提取物及其活性成分可能对AD具有神经保护作用。因此,该根的提取物及其活性成分有潜力开发成为AD的有效治疗或预防药物。