Chaiprateep Em-On, Wiemann Sabrina, Eckert Ralph W, Raab Christian, Sengupta Soma, Keck Cornelia M
Department of Pharmaceutics and Biopharmaceutics, Philipps-Universität Marburg, Robert-Koch-Str. 4, 35037 Marburg, Germany.
Faculty of Integrative Medicine, Rajamangala University of Technology Thanyaburi (RMUTT), Thanyaburi 12130, Thailand.
Pharmaceutics. 2023 Nov 20;15(11):2645. doi: 10.3390/pharmaceutics15112645.
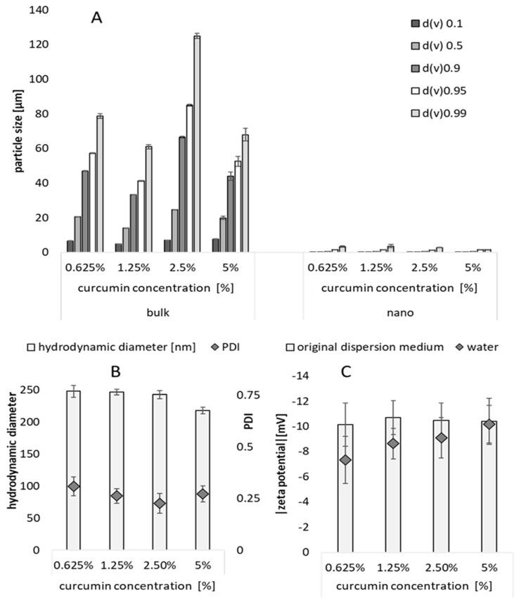
The influence of size, particle concentration and applied dose (finite vs. infinite dose) on the dermal penetration efficacy of curcumin was investigated in this study. For this, curcumin suspensions with different particle sizes (approx. 20 µm and approx. 250 nm) were produced in different concentrations (0.625-5% (/)). The dermal penetration efficacy was determined semi-quantitatively on the ex vivo porcine ear model. The results demonstrated that the presence of particles increases the dermal penetration efficacy of the active compounds being dissolved in the water phase of the formulation. The reason for this is the formation of an aqueous meniscus that develops between particles and skin due to the partial evaporation of water from the vehicle after topical application. The aqueous meniscus contains dissolved active ingredients, and therefore creates a small local spot with a locally high concentration gradient that leads to improved dermal penetration. The increase in penetration efficacy depends on the number of particles in the vehicle, i.e., higher numbers of particles and longer contact times lead to higher penetration efficacy. Therefore, nanocrystals with a high particle concentration were found to be the most suitable formulation principle for efficient and deep dermal penetration of poorly water-soluble active ingredients.
本研究考察了姜黄素粒径、颗粒浓度及给药剂量(有限剂量与无限剂量)对其经皮渗透效果的影响。为此,制备了不同粒径(约20 µm和约250 nm)、不同浓度(0.625 - 5%(/))的姜黄素混悬液。采用离体猪耳模型半定量测定经皮渗透效果。结果表明,颗粒的存在可提高溶解在制剂水相中的活性成分的经皮渗透效果。其原因是局部应用后,载体中的水分部分蒸发,在颗粒与皮肤之间形成了水相弯月面。水相弯月面含有溶解的活性成分,因此形成了一个局部高浓度梯度的小区域,从而提高了经皮渗透效果。渗透效果的提高取决于载体中颗粒的数量,即颗粒数量越多、接触时间越长,渗透效果越高。因此,发现高颗粒浓度的纳米晶体是水溶性差的活性成分高效、深层经皮渗透的最合适制剂原理。