• 文献检索
  • 文档翻译
  • 深度研究
  • 学术资讯
  • Suppr Zotero 插件Zotero 插件
  • 邀请有礼
  • 套餐&价格
  • 历史记录
应用&插件
Suppr Zotero 插件Zotero 插件浏览器插件Mac 客户端Windows 客户端微信小程序
定价
高级版会员购买积分包购买API积分包
服务
文献检索文档翻译深度研究API 文档MCP 服务
关于我们
关于 Suppr公司介绍联系我们用户协议隐私条款
关注我们

Suppr 超能文献

核心技术专利:CN118964589B侵权必究
粤ICP备2023148730 号-1Suppr @ 2026

文献检索

告别复杂PubMed语法,用中文像聊天一样搜索,搜遍4000万医学文献。AI智能推荐,让科研检索更轻松。

立即免费搜索

文件翻译

保留排版,准确专业,支持PDF/Word/PPT等文件格式,支持 12+语言互译。

免费翻译文档

深度研究

AI帮你快速写综述,25分钟生成高质量综述,智能提取关键信息,辅助科研写作。

立即免费体验

经肛门内镜微创手术(taE-ISR)在超低位直肠癌保肛治疗中的应用:一项倾向评分匹配队列研究。

Revolutionizing sphincter preservation in ultra-low rectal cancer: exploring the potential of transanal endoscopic intersphincteric resection (taE-ISR): a propensity score-matched cohort study.

机构信息

Department of General Surgery, Ruijin Hospital, Shanghai Jiao Tong University School of Medicine, Shanghai, China.

Department of General Surgery, Shanghai General Hospital, Shanghai Jiao Tong University School of Medicine, Shanghai.

出版信息

Int J Surg. 2024 Feb 1;110(2):709-720. doi: 10.1097/JS9.0000000000000945.

DOI:10.1097/JS9.0000000000000945
PMID:38016136
原文链接:https://pmc.ncbi.nlm.nih.gov/articles/PMC10871607/
Abstract

BACKGROUND

With the optimization of neoadjuvant treatment regimens, the indications for intersphincteric resection (ISR) have expanded. However, limitations such as unclear surgical field, impaired anal function, and failure of anal preservation still exist. Transanal total mesorectal excision can complement the drawbacks of ISR. Therefore, this study combined these two techniques and proposed transanal endoscopic intersphincteric resection (taE-ISR), aiming to explore the value of this novel technique in anal preservation for ultra-low rectal cancer.

MATERIAL AND METHODS

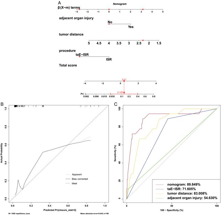
Four high-volume centres were involved. After 1:1 propensity score-matching, patients with ultra-low rectal cancer underwent taE-ISR ( n =90) or ISR ( n =90) were included. Baseline characteristics, perioperative outcomes, pathological results, and follow-up were compared between the two groups. A nomogram model was established to assess the potential risks of anal preservation.

RESULTS

The incidence of adjacent organ injury (0.0% vs. 5.6%, P =0.059), positive distal resection margin (1.1% vs. 8.9%, P =0.034), and incomplete specimen (2.2% vs. 13.3%, P =0.012) were lower in taE-ISR group. Moreover, the anal preservation rate was significantly higher in taE-ISR group (97.8% vs. 82.2%, P =0.001). Patients in the taE-ISR group showed a better disease-free survival ( P =0.044) and lower cumulative recurrence ( P =0.022) compared to the ISR group. Surgery procedure, tumour distance, and adjacent organ injury were factors influencing anal preservation in patients with ultra-low rectal cancer.

CONCLUSION

taE-ISR technique was safe, feasible, and improved surgical quality, anal preservation rate and survival outcomes in ultra-low rectal cancer patients. It held significant clinical value and showed promising application prospects for anal preservation.

摘要

背景

随着新辅助治疗方案的优化,括约肌间切除术(ISR)的适应证有所扩大。然而,仍存在手术视野不清晰、肛门功能受损以及保肛失败等局限性。经肛门全直肠系膜切除术可以弥补 ISR 的不足。因此,本研究结合这两种技术,提出经肛门内镜括约肌间切除术(taE-ISR),旨在探讨该新技术在超低位直肠癌保肛中的应用价值。

材料与方法

本研究纳入了 4 家高容量中心的患者。经过 1:1 倾向评分匹配后,将接受 taE-ISR(n=90)或 ISR(n=90)治疗的超低位直肠癌患者纳入研究。比较两组患者的基线特征、围手术期结局、病理结果和随访情况。建立列线图模型评估保肛的潜在风险。

结果

taE-ISR 组的邻近器官损伤发生率(0.0% vs. 5.6%,P=0.059)、远端切缘阳性率(1.1% vs. 8.9%,P=0.034)和不完整标本率(2.2% vs. 13.3%,P=0.012)较低。此外,taE-ISR 组的保肛率显著更高(97.8% vs. 82.2%,P=0.001)。与 ISR 组相比,taE-ISR 组的无病生存率更高(P=0.044),累积复发率更低(P=0.022)。手术方式、肿瘤距离和邻近器官损伤是影响超低位直肠癌患者保肛的因素。

结论

taE-ISR 技术安全、可行,可提高超低位直肠癌患者的手术质量、保肛率和生存结局,具有显著的临床价值,为保肛提供了有前景的应用前景。

https://cdn.ncbi.nlm.nih.gov/pmc/blobs/38a0/10871607/414161192956/js9-110-0709-g006.jpg
https://cdn.ncbi.nlm.nih.gov/pmc/blobs/38a0/10871607/04cb7e54b5d2/js9-110-0709-g001.jpg
https://cdn.ncbi.nlm.nih.gov/pmc/blobs/38a0/10871607/5b72c44e5d7e/js9-110-0709-g002.jpg
https://cdn.ncbi.nlm.nih.gov/pmc/blobs/38a0/10871607/a19f58c0cf00/js9-110-0709-g003.jpg
https://cdn.ncbi.nlm.nih.gov/pmc/blobs/38a0/10871607/5fec10f7225b/js9-110-0709-g004.jpg
https://cdn.ncbi.nlm.nih.gov/pmc/blobs/38a0/10871607/e90e235a4f41/js9-110-0709-g005.jpg
https://cdn.ncbi.nlm.nih.gov/pmc/blobs/38a0/10871607/414161192956/js9-110-0709-g006.jpg
https://cdn.ncbi.nlm.nih.gov/pmc/blobs/38a0/10871607/04cb7e54b5d2/js9-110-0709-g001.jpg
https://cdn.ncbi.nlm.nih.gov/pmc/blobs/38a0/10871607/5b72c44e5d7e/js9-110-0709-g002.jpg
https://cdn.ncbi.nlm.nih.gov/pmc/blobs/38a0/10871607/a19f58c0cf00/js9-110-0709-g003.jpg
https://cdn.ncbi.nlm.nih.gov/pmc/blobs/38a0/10871607/5fec10f7225b/js9-110-0709-g004.jpg
https://cdn.ncbi.nlm.nih.gov/pmc/blobs/38a0/10871607/e90e235a4f41/js9-110-0709-g005.jpg
https://cdn.ncbi.nlm.nih.gov/pmc/blobs/38a0/10871607/414161192956/js9-110-0709-g006.jpg

相似文献

1
Revolutionizing sphincter preservation in ultra-low rectal cancer: exploring the potential of transanal endoscopic intersphincteric resection (taE-ISR): a propensity score-matched cohort study.经肛门内镜微创手术(taE-ISR)在超低位直肠癌保肛治疗中的应用:一项倾向评分匹配队列研究。
Int J Surg. 2024 Feb 1;110(2):709-720. doi: 10.1097/JS9.0000000000000945.
2
Short-term outcomes of transanal endoscopic intersphincteric resection for locally advanced rectal cancer after neoadjuvant chemoradiotherapy: A single-center retrospective cohort study.新辅助放化疗后经肛门内镜括约肌间切除术治疗局部晚期直肠癌的短期疗效:一项单中心回顾性队列研究
Eur J Surg Oncol. 2025 Jul;51(7):109984. doi: 10.1016/j.ejso.2025.109984. Epub 2025 Mar 21.
3
Oncological Outcomes of Intersphincteric Resection Versus Abdominoperineal Resection for ypT3 Low Rectal Cancer After Neoadjuvant Chemoradiotherapy: A Multicenter Retrospective Analysis.新辅助放化疗后ypT3期低位直肠癌行括约肌间切除术与腹会阴联合切除术的肿瘤学结局:一项多中心回顾性分析
Dis Colon Rectum. 2025 Aug 1;68(8):951-961. doi: 10.1097/DCR.0000000000003821. Epub 2025 May 7.
4
Outcomes of Distal Rectal Cancer Patients Who Did Not Qualify for Watch-and-Wait: Comparison of Intersphincteric Resection Versus Abdominoperineal Resection.不符合观察等待条件的低位直肠癌患者的结局:括约肌间切除术与腹会阴联合切除术的比较
Ann Surg Oncol. 2025 Jan;32(1):128-136. doi: 10.1245/s10434-024-16316-3. Epub 2024 Oct 12.
5
Perioperative safety evaluation of intersphincteric resection combined with rectal eversion and total extra-abdominal resection: a prospective randomized controlled trial.括约肌间切除术联合直肠外翻及全腹外切除术的围手术期安全性评估:一项前瞻性随机对照试验
World J Surg Oncol. 2025 Jul 18;23(1):287. doi: 10.1186/s12957-025-03952-6.
6
Conformal sphincteric resection for ultra-low rectal cancer located below the dentate line: A pilot report.齿状线以下超低位直肠癌的经肛全直肠系膜切除术:初步报告
Colorectal Dis. 2023 Dec;25(12):2414-2422. doi: 10.1111/codi.16776. Epub 2023 Oct 31.
7
Long-term efficacy and short-term outcomes of intersphincteric resection abdominoperineal resection in patients with ultra-low rectal cancer.超低位直肠癌患者行括约肌间切除术与腹会阴联合切除术的长期疗效及短期结局
World J Gastroenterol. 2025 Aug 7;31(29):110004. doi: 10.3748/wjg.v31.i29.110004.
8
The impact of transanal local excision of early rectal cancer on completion rectal resection without neoadjuvant chemoradiotherapy: a systematic review.经肛门局部切除早期直肠癌对无新辅助放化疗的全直肠系膜切除术的影响:一项系统综述。
Tech Coloproctol. 2021 Sep;25(9):997-1010. doi: 10.1007/s10151-020-02401-8. Epub 2021 Jun 25.
9
Intersphincteric resection following robotic-assisted versus laparoscopy-assisted total mesorectal excision for middle and low rectal cancer: a multicentre propensity score analysis of 1571 patients.机器人辅助与腹腔镜辅助全直肠系膜切除术治疗中低位直肠癌的经肛门内括约肌切除术:1571 例患者的多中心倾向评分分析。
Int J Surg. 2024 Apr 1;110(4):1904-1912. doi: 10.1097/JS9.0000000000001053.
10
Stoma Rate and Oncological Outcomes of Primary TaTME vs Completion TaTME in Patients With Early-Stage Rectal Cancer.早期直肠癌患者中,原发性经肛全直肠系膜切除术(TaTME)与完成性TaTME的造口率及肿瘤学结局
Dis Colon Rectum. 2025 Aug 1;68(8):962-971. doi: 10.1097/DCR.0000000000003794. Epub 2025 May 5.

引用本文的文献

1
Comparison of laparoscopic versus robot-assisted sugery for rectal cancer after neo-adjuvant therapy: a large volume single center experience.新辅助治疗后腹腔镜与机器人辅助手术治疗直肠癌的比较:一项大样本单中心经验
BMC Surg. 2025 Mar 12;25(1):98. doi: 10.1186/s12893-025-02764-5.
2
The Review of Modified Intersphincteric Resection in the Treatment of Ultra-Low Rectal Cancer.改良括约肌间切除术治疗超低位直肠癌的综述
Curr Treat Options Oncol. 2025 Feb;26(2):84-91. doi: 10.1007/s11864-025-01291-y. Epub 2025 Jan 23.

本文引用的文献

1
[Chinese expert consensus on intersphincteric resection for low rectal cancer (2023 edition)].《中国低位直肠癌括约肌间切除术专家共识(2023年版)》
Zhonghua Wei Chang Wai Ke Za Zhi. 2023 Jun 25;26(6):536-547. doi: 10.3760/cma.j.cn441530-20230404-00101.
2
Pretreatment colostomy in patients with anal squamous cell carcinoma: Risk factors for a permanent stoma.术前预防性结肠造口术在肛门鳞癌患者中的应用:永久性造口的风险因素。
J Surg Oncol. 2022 Sep;126(4):740-747. doi: 10.1002/jso.26965. Epub 2022 May 31.
3
Preoperative risk stratification of permanent stoma in patients with non-metastatic mid and low rectal cancer undergoing curative resection and a temporary stoma.
根治性切除及临时性造口术治疗非转移性中低位直肠癌患者永久性造口的术前风险分层。
Langenbecks Arch Surg. 2022 Aug;407(5):1991-1999. doi: 10.1007/s00423-022-02503-x. Epub 2022 Apr 18.
4
Multicenter, Randomized, Phase III Trial of Short-Term Radiotherapy Plus Chemotherapy Versus Long-Term Chemoradiotherapy in Locally Advanced Rectal Cancer (STELLAR).多中心、随机、III 期临床试验:短期放疗联合化疗与长程放化疗治疗局部进展期直肠癌(STELLAR)。
J Clin Oncol. 2022 May 20;40(15):1681-1692. doi: 10.1200/JCO.21.01667. Epub 2022 Mar 9.
5
Cumulative Incidence and Risk Factors of Permanent Stoma After Intersphincteric Resection for Ultralow Rectal Cancer.超低位直肠癌经括约肌间切除术永久性造口的累积发生率及危险因素。
Dis Colon Rectum. 2022 Jan 1;65(1):66-75. doi: 10.1097/DCR.0000000000002036.
6
STROCSS 2021: Strengthening the reporting of cohort, cross-sectional and case-control studies in surgery.STROCSS 2021:加强外科学队列研究、横断面研究和病例对照研究报告规范。
Int J Surg. 2021 Dec;96:106165. doi: 10.1016/j.ijsu.2021.106165. Epub 2021 Nov 11.
7
Anus-Preserving Surgery in Advanced Low-Lying Rectal Cancer: A Perspective on Oncological Safety of Intersphincteric Resection.低位进展期直肠癌的保肛手术:关于括约肌间切除术肿瘤学安全性的观点
Cancers (Basel). 2021 Sep 24;13(19):4793. doi: 10.3390/cancers13194793.
8
[Recognition of surgical anatomy for intersphincteric resection].[括约肌间切除术的手术解剖识别]
Zhonghua Wei Chang Wai Ke Za Zhi. 2021 Jul 25;24(7):598-603. doi: 10.3760/cma.j.cn.441530-20201102-00585.
9
Neoadjuvant chemotherapy with FOLFIRINOX and preoperative chemoradiotherapy for patients with locally advanced rectal cancer (UNICANCER-PRODIGE 23): a multicentre, randomised, open-label, phase 3 trial.局部晚期直肠癌患者的 FOLFIRINOX 新辅助化疗和术前放化疗(UNICANCER-PRODIGE 23):一项多中心、随机、开放标签、III 期临床试验。
Lancet Oncol. 2021 May;22(5):702-715. doi: 10.1016/S1470-2045(21)00079-6. Epub 2021 Apr 13.
10
Pembrolizumab in Microsatellite-Instability-High Advanced Colorectal Cancer.帕博利珠单抗治疗微卫星高度不稳定型晚期结直肠癌。
N Engl J Med. 2020 Dec 3;383(23):2207-2218. doi: 10.1056/NEJMoa2017699.