Suppr超能文献

不同的动作意象教学方法都展示了个性化的运动模式,以在学习复杂运动技能时获得更好的表现结果。

Different pedagogical approaches to motor imagery both demonstrate individualized movement patterns to achieve improved performance outcomes when learning a complex motor skill.

机构信息

Institute for Health and Sport, Victoria University, Melbourne, Australia.

National Institute of Education, Nanyang Technological University, Singapore, Singapore.

出版信息

PLoS One. 2023 Nov 29;18(11):e0282647. doi: 10.1371/journal.pone.0282647. eCollection 2023.

Abstract

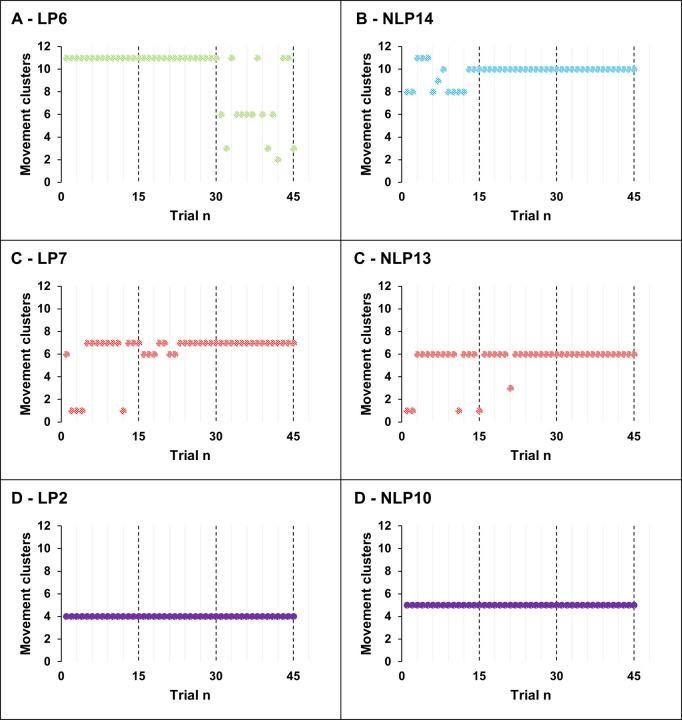
Cognitive training techniques such as motor imagery (MI)-cognitive simulation of movement, has been found to successfully facilitate skill acquisition. The MI literature emphasizes the need to accurately imitate key elements of motor execution to facilitate improved performance outcomes. However, there is a scarcity of MI research investigating how contemporary approaches to motor learning, such as nonlinear pedagogy (NLP), can be integrated into MI practice. Grounded in an ecological dynamics approach to human movement, NLP proposes that skilled action is an emergent process that results from continuous interactions between perceptual information of the environment and movement. This emergent process can be facilitated by the manipulation of key task constraints that aim to encourage learners to explore movement solutions that satisfy individual constraints (e.g., height and weight) and achieve successful performance outcomes. The aim of the present study was to explore the application of a NLP approach to MI approach for skill acquisition. Fourteen weightlifting beginners (two female and 12 male) participated in a 4-week intervention involving either NLP (i.e. analogy-based instructions and manipulation of task constraints) or a linear pedagogy (LP; prescriptive instructions of optimal technique, repetition of same movement form) to learn a complex weightlifting derivative. Performance accuracy, movement criterion (barbell trajectory type), kinematic data, and quantity of exploration/exploitation were measured pre-mid-post intervention. No significant differences (p = .438) were observed in the amount of exploration between LP (EER = 0.41) and NLP (EER = 0.26) conditions. Equivalent changes in rearward displacement (R×D) were observed with no significant differences between conditions for technique assessments 1, 2, or 3 (p = .13 - .67). Both NLP and LP conditions were found to primarily demonstrate 'sub-optimal' type 3 barbell trajectories (NLP = 72%; LP = 54%). These results suggest that MI instructions prescribing a specific movement form (i.e., LP condition) are ineffective in restricting available movements to a prescribed technique but rather the inherent task constraints appear to 'force' learners to explore alternative movement solutions to achieve successful performance outcomes. Although MI instructions prescribing specific techniques have previously supported improved skill development, the current findings indicate that learners may self-organise their movements regardless of MI instructions to satisfy individual and task constraints while achieving improved performance. Therefore, it may be beneficial to consider scripts that are more outcome focused and incorporate task constraints to facilitate learners' inherent exploration of individual task solutions.

摘要

认知训练技术,如运动意象(MI)-运动的认知模拟,已被发现可成功促进技能的获取。MI 文献强调需要准确模仿运动执行的关键要素,以促进更好的表现结果。然而,关于如何将现代运动学习方法(如非线性教学法(NLP))融入 MI 实践的 MI 研究还很少。基于人类运动的生态动力学方法,NLP 提出,熟练的动作是一个涌现的过程,它源于环境感知信息和运动之间的连续相互作用。通过操纵关键任务约束,可以促进学习者探索满足个人约束(例如,高度和重量)并实现成功表现结果的运动解决方案。本研究的目的是探索将 NLP 方法应用于 MI 方法以获取技能。14 名举重初学者(2 名女性和 12 名男性)参加了为期 4 周的干预,包括 NLP(即基于类比的指令和任务约束的操纵)或线性教学法(LP;最佳技术的说明性指令,相同运动形式的重复)来学习复杂的举重衍生动作。在干预前、中、后测量了性能准确性、运动标准(杠铃轨迹类型)、运动学数据和探索/开发的数量。LP(EER = 0.41)和 NLP(EER = 0.26)条件之间没有观察到探索量的显著差异(p =.438)。在技术评估 1、2 或 3 中,没有观察到条件之间后向位移(R×D)的等效变化,并且没有观察到显著差异(p =.13 -.67)。发现 NLP 和 LP 条件都主要表现出“次优”的 3 型杠铃轨迹(NLP = 72%;LP = 54%)。这些结果表明,规定特定运动形式的 MI 指令(即 LP 条件)在限制可用运动为规定技术方面是无效的,但固有任务约束似乎迫使学习者探索替代运动解决方案以实现成功的表现结果。尽管规定特定技术的 MI 指令以前支持了技能的发展,但目前的发现表明,学习者可能会自行组织他们的动作,而不管 MI 指令如何,以满足个人和任务约束,同时提高表现。因此,考虑更注重结果的脚本并纳入任务约束以促进学习者对个人任务解决方案的内在探索可能是有益的。

https://cdn.ncbi.nlm.nih.gov/pmc/blobs/9254/10686457/1ac31bc23d7a/pone.0282647.g001.jpg

文献AI研究员

20分钟写一篇综述,助力文献阅读效率提升50倍。

立即体验

用中文搜PubMed

大模型驱动的PubMed中文搜索引擎

马上搜索

文档翻译

学术文献翻译模型,支持多种主流文档格式。

立即体验