Guangxi Medical University Cancer Hospital, Nan Ning, Guangxi Zhuang Autonomous Region, China.
Sci Rep. 2023 Dec 15;13(1):22295. doi: 10.1038/s41598-023-49358-w.
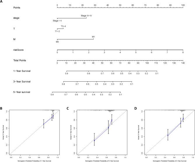
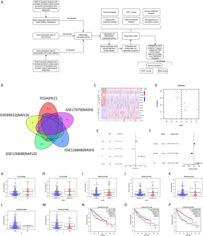
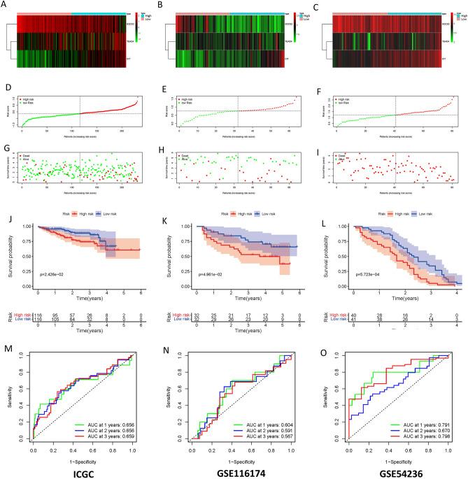
Hepatocellular carcinoma (HCC) is one of the most dangerous malignant tumors. The incidence rates of obesity related NAFLD and NASH are increasing year by year, and they are the main risk factors for HCC at present. Finding the mechanism of malignant transformation of NAFLD and NASH is helpful for early prevention and diagnosis. In this study, we performed differential analysis using NAFLD data, NASH data, and HCC data to identify crossover differential genes. Then, using the clinical data of TCGA, a prognostic risk prediction model of three genes (TEAD4, SOCS2, CIT) was constructed, and survival analysis and receiver operating characteristic curves were drawn. The prognostic model was validated using ICGC, GSE116174 and GSE54236 datasets. In addition, we assessed immune status and function in high- and low-risk populations using a prognostic model. Moreover, we assessed the expression of CIT in clinical samples and HCC cell lines and validated its role in HCC development. Our study elucidates the important role of the tumor immune microenvironment in the development of NAFLD/NASH to HCC, deepens the understanding of the pathogenesis of NAFLD/NASH development to HCC, and is helpful for clinical management and decision-making.
肝细胞癌 (HCC) 是最危险的恶性肿瘤之一。肥胖相关的非酒精性脂肪性肝病 (NAFLD) 和非酒精性脂肪性肝炎 (NASH) 的发病率逐年上升,目前它们是 HCC 的主要危险因素。寻找 NAFLD 和 NASH 恶性转化的机制有助于早期预防和诊断。在这项研究中,我们使用 NAFLD 数据、NASH 数据和 HCC 数据进行差异分析,以鉴定交叉差异基因。然后,使用 TCGA 的临床数据构建了三个基因(TEAD4、SOCS2 和 CIT)的预后风险预测模型,并进行了生存分析和接收者操作特征曲线绘制。使用 ICGC、GSE116174 和 GSE54236 数据集验证了预后模型。此外,我们使用预后模型评估了高风险和低风险人群中的免疫状态和功能。此外,我们评估了 CIT 在临床样本和 HCC 细胞系中的表达,并验证了其在 HCC 发展中的作用。我们的研究阐明了肿瘤免疫微环境在 NAFLD/NASH 向 HCC 发展中的重要作用,加深了对 NAFLD/NASH 向 HCC 发展的发病机制的认识,有助于临床管理和决策。