Suppr超能文献

废水中外源肽酶对抗菌肽的水解作用。

Hydrolysis of Antimicrobial Peptides by Extracellular Peptidases in Wastewater.

机构信息

Division of Environmental Geosciences, Centre for Microbiology and Environmental Systems Science, University of Vienna, Josef-Holaubek-Platz 2, Vienna 1090, Austria.

Department of Environmental Microbiology, Swiss Federal Institute of Aquatic Science and Technology (Eawag), Überlandstrasse 133, Dübendorf 8600, Switzerland.

出版信息

Environ Sci Technol. 2024 Jan 9;58(1):717-726. doi: 10.1021/acs.est.3c06506. Epub 2023 Dec 16.

Abstract

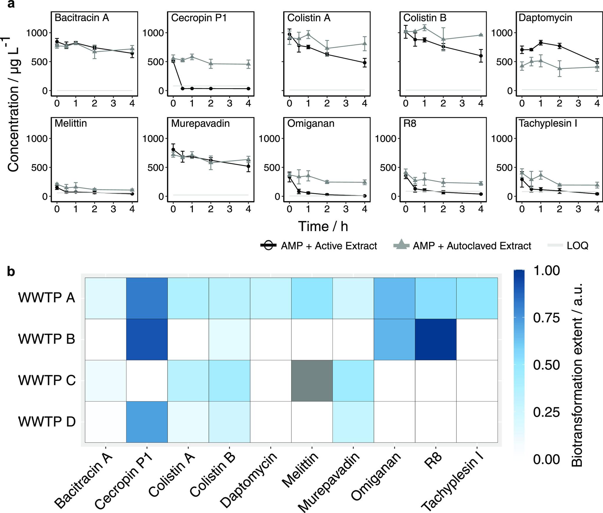
Several antimicrobial peptides (AMPs) are emerging as promising novel antibiotics. When released into wastewater streams after use, AMPs might be hydrolyzed and inactivated by wastewater peptidases─resulting in a reduced release of active antimicrobials into wastewater-receiving environments. A key step towards a better understanding of the fate of AMPs in wastewater systems is to investigate the activity and specificity of wastewater peptidases. Here, we quantified peptidase activity in extracellular extracts from different stages throughout the wastewater treatment process. For all four tested municipal wastewater treatment plants, we detected highest activity in raw wastewater. Complementarily, we assessed the potential of enzymes in raw wastewater extracts to biotransform 10 selected AMPs. We found large variations in the susceptibility of AMPs to enzymatic transformation, indicating substantial substrate specificity of extracted enzymes. To obtain insights into peptidase specificities, we searched for hydrolysis products of rapidly biotransformed AMPs and quantified selected products using synthetic standards. We found that hydrolysis occurred at specific sites and that these sites were remarkably conserved across the four tested wastewaters. Together, these findings provide insights into the fate of AMPs in wastewater systems and can inform the selection and design of peptide-based antibiotics that are hydrolyzable by wastewater peptidases.

摘要

几种抗菌肽(AMPs)作为有前途的新型抗生素正在出现。在使用后排放到废水中时,AMPs 可能会被废水中的肽酶水解和失活,从而减少活性抗菌剂释放到废水接收环境中。更好地了解 AMPs 在废水系统中的命运的关键步骤是研究废水肽酶的活性和特异性。在这里,我们量化了废水处理过程中不同阶段的细胞外提取物中的肽酶活性。对于所有四个测试的城市废水处理厂,我们在原废水中检测到最高的活性。作为补充,我们评估了原废水提取物中酶转化 10 种选定的 AMPs 的潜力。我们发现 AMPs 对酶转化的敏感性存在很大差异,表明提取酶具有很大的底物特异性。为了深入了解肽酶的特异性,我们搜索了快速生物转化的 AMPs 的水解产物,并使用合成标准品对选定的产物进行了定量。我们发现水解发生在特定的部位,并且这些部位在四个测试废水中都非常保守。这些发现共同提供了对抗生素在废水系统中命运的深入了解,并可以为选择和设计可被废水肽酶水解的基于肽的抗生素提供信息。

https://cdn.ncbi.nlm.nih.gov/pmc/blobs/6a0f/10785756/c0c31fc47f55/es3c06506_0001.jpg

文献检索

告别复杂PubMed语法,用中文像聊天一样搜索,搜遍4000万医学文献。AI智能推荐,让科研检索更轻松。

立即免费搜索

文件翻译

保留排版,准确专业,支持PDF/Word/PPT等文件格式,支持 12+语言互译。

免费翻译文档

深度研究

AI帮你快速写综述,25分钟生成高质量综述,智能提取关键信息,辅助科研写作。

立即免费体验