Division of Nephrology, Department of Medicine, Icahn School of Medicine at Mount Sinai, New York, NY, USA.
Division of Nephrology, Department of Medicine, King Chulalongkorn Memorial Hospital, Chulalongkorn University, Bangkok, Thailand.
BMC Nephrol. 2023 Dec 19;24(1):376. doi: 10.1186/s12882-023-03424-7.
End-stage kidney disease (ESKD) is associated with increased morbidity and mortality. Identifying patients with stage 4 CKD (CKD4) at risk of rapid progression to ESKD remains challenging. Accurate prediction of CKD4 progression can improve patient outcomes by improving advanced care planning and optimizing healthcare resource allocation.
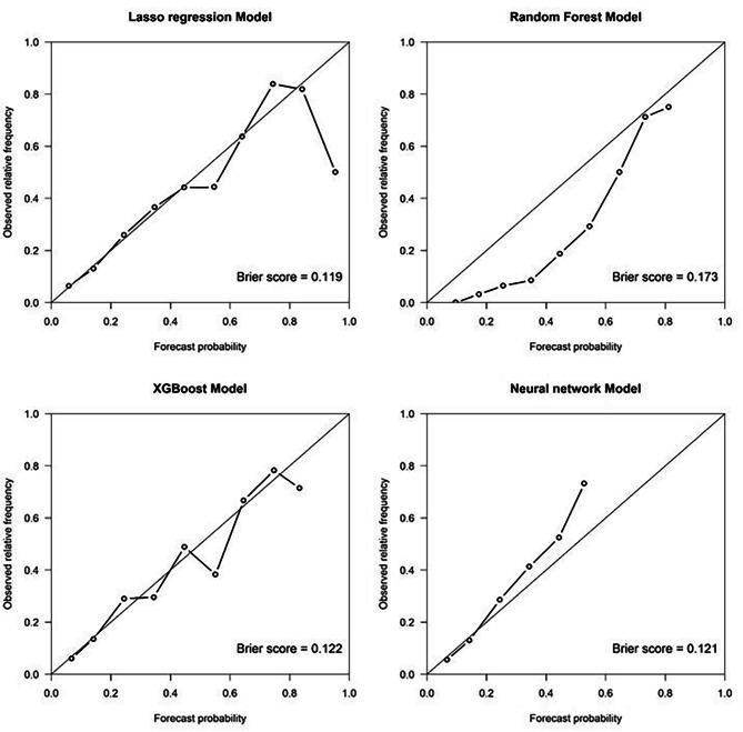
We obtained electronic health record data from patients with CKD4 in a large health system between January 1, 2006, and December 31, 2016. We developed and validated four models, including Least Absolute Shrinkage and Selection Operator (LASSO) regression, random forest, eXtreme Gradient Boosting (XGBoost), and artificial neural network (ANN), to predict ESKD at 3 years. We utilized area under the receiver operating characteristic curve (AUROC) to evaluate model performances and utilized Shapley additive explanation (SHAP) values and plots to define feature dependence of the best performance model.
We included 3,160 patients with CKD4. ESKD was observed in 538 patients (21%). All approaches had similar AUROCs; ANN yielded the highest AUROC (0.77; 95%CI 0.75 to 0.79) and LASSO regression (0.77; 95%CI 0.75 to 0.79), followed by random forest (0.76; 95% CI 0.74 to 0.79), and XGBoost (0.76; 95% CI 0.74 to 0.78).
We developed and validated several models for near-term prediction of kidney failure in CKD4. ANN, random forest, and XGBoost demonstrated similar predictive performances. Using this suite of models, interventions can be customized based on risk, and population health and resources appropriately allocated.
终末期肾病(ESKD)与发病率和死亡率的增加有关。确定处于 4 期慢性肾脏病(CKD4)且有快速进展为 ESKD 风险的患者仍然具有挑战性。准确预测 CKD4 的进展可以通过改善先进的护理计划和优化医疗保健资源分配来改善患者的预后。
我们从 2006 年 1 月 1 日至 2016 年 12 月 31 日期间在一个大型医疗系统中的 CKD4 患者的电子健康记录中获得数据。我们开发并验证了四个模型,包括最小绝对收缩和选择算子(LASSO)回归、随机森林、极端梯度提升(XGBoost)和人工神经网络(ANN),以预测 3 年内的 ESKD。我们利用接收者操作特征曲线下的面积(AUROC)来评估模型性能,并利用 Shapley 加法解释(SHAP)值和图来定义最佳性能模型的特征依赖性。
我们纳入了 3160 名 CKD4 患者。在 538 名患者(21%)中观察到 ESKD。所有方法的 AUROC 相似;ANN 产生了最高的 AUROC(0.77;95%CI 0.75 至 0.79)和 LASSO 回归(0.77;95%CI 0.75 至 0.79),其次是随机森林(0.76;95%CI 0.74 至 0.79)和 XGBoost(0.76;95%CI 0.74 至 0.78)。
我们开发并验证了几种用于预测 CKD4 患者近期肾衰竭的模型。ANN、随机森林和 XGBoost 表现出相似的预测性能。使用这套模型,可以根据风险和人群健康状况定制干预措施,并适当分配卫生资源。