Suppr超能文献

膀胱癌患者非混合治愈模型估计:一种新的指数威布尔指数分布方法。

Non-Mixture Cure Model Estimation in Bladder Cancer Patients: A Novel Approach with Exponentiated Weibull Exponential Distribution.

机构信息

Department of Mathematics, College of Science, Sudan University of Science and Technology, Khartoum, Sudan.

Department of Mathematics and Statistics, Faculty of Science, Universiti Putra Malaysia, UPM Serdang, Serdang 43400, Selangor, Malaysia.

出版信息

Asian Pac J Cancer Prev. 2023 Dec 1;24(12):4167-4177. doi: 10.31557/APJCP.2023.24.12.4167.

Abstract

OBJECTIVE

Cure models are frequently used in survival analysis to account for a cured fraction in the data. When there is a cure rate present, researchers often prefer cure models over parametric models to analyse the survival data. These models enable the ability to define the probability distribution of survival durations for patients who are at risk. Various distributions can be considered for the survival times, such as Exponentiated Weibull Exponential (EWE), Exponential Exponential (EE), Weibull and lognormal distribution. The objective of this research is to choose the most appropriate distribution that accurately represents the survival times of patients who have not been cured. This will be accomplished by comparing various non-mixture cure models that are based on the EWE distribution with its sub-distributions, and distributions distinct from those belonging to the EWE distribution family.

MATERIAL AND METHODS

A sample of 85 patients diagnosed with superficial bladder tumours was selected to be used in fitting the non-mixture cure model. In order to estimate the parameters of the suggested model, which takes into account the presence of a cure rate, censored data, and covariates, we utilized the maximum likelihood estimation technique using R software version 3.5.7.

RESULT

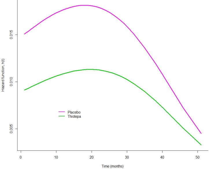
Upon conducting a comparison of various parametric models fitted to the data, both with and without considering the cure fraction and without incorporating any predictors, the EE distribution yields the lowest AIC, BIC, and HQIC values among all the distributions considered in this study, (1191.921/1198.502, 1201.692/1203.387, 1195.851/1200.467). Furthermore, when considering a non-mixture cure model utilizing the EE distribution along with covariates, an estimated ratio was obtained between the probabilities of being cured for placebo and thiotepa groups (and its 95% confidence intervals) were 0.76130 (0.13914, 6.81863).

CONCLUSION

The findings of this study indicate that EE distribution is the optimal selection for determining the duration of survival in individuals diagnosed with bladder cancer.

摘要

目的

生存分析中经常使用治愈模型来解释数据中的治愈部分。当存在治愈率时,研究人员通常更喜欢使用治愈模型而不是参数模型来分析生存数据。这些模型能够定义处于风险中的患者的生存持续时间的概率分布。可以考虑各种分布来表示生存时间,例如指数 Weibull 指数(EWE)、指数指数(EE)、Weibull 和对数正态分布。本研究的目的是选择最适合的分布,以准确表示未治愈患者的生存时间。这将通过比较基于 EWE 分布及其子分布的各种非混合治愈模型以及与 EWE 分布家族不同的分布来实现。

材料和方法

选择了 85 名被诊断患有浅表膀胱癌的患者样本,用于拟合非混合治愈模型。为了估计考虑治愈率、删失数据和协变量的建议模型的参数,我们使用 R 软件版本 3.5.7 进行了最大似然估计技术。

结果

在对数据进行拟合的各种参数模型进行比较时,包括考虑和不考虑治愈率以及不纳入任何预测因子的情况,EE 分布在所有考虑的分布中产生了最低的 AIC、BIC 和 HQIC 值,(1191.921/1198.502、1201.692/1203.387、1195.851/1200.467)。此外,当考虑使用 EE 分布和协变量的非混合治愈模型时,安慰剂和噻替派组的治愈概率之比(及其 95%置信区间)为 0.76130(0.13914,6.81863)。

结论

本研究的结果表明,EE 分布是确定膀胱癌患者生存持续时间的最佳选择。

https://cdn.ncbi.nlm.nih.gov/pmc/blobs/28ce/10909084/462a94fb220c/APJCP-24-4167-g001.jpg

文献AI研究员

20分钟写一篇综述,助力文献阅读效率提升50倍。

立即体验

用中文搜PubMed

大模型驱动的PubMed中文搜索引擎

马上搜索

文档翻译

学术文献翻译模型,支持多种主流文档格式。

立即体验