Suppr超能文献

白细胞介素-34 作为评估慢血流风险的潜在炎症生物标志物的截断值。

Cut-off value for interleukin-34 as an additional potential inflammatory biomarker for estimation of slow coronary flow risk.

机构信息

Department of Cardiology, Fethi Sekin Sehir Hastanesi, Elazıg, Turkey.

Department of Cardiology, Malatya Turgut Özal Üniversitesi Kardiyoloji ABD, Malatya, Turkey.

出版信息

BMC Cardiovasc Disord. 2024 Jan 2;24(1):2. doi: 10.1186/s12872-023-03677-y.

Abstract

BACKGROUND

Inflammatory markers may provide insights into the underlying mechanisms of slow coronary flow (SCF), including subclinical atherosclerosis and endothelial dysfunction. Interleukin-34 (IL-34), known for its role in immuno-inflammatory diseases, might hold significance in SCF. We aimed to explore the potential association between IL-34 and SCF in patients undergoing diagnostic elective coronary angiography.

METHODS

This observational, cross-sectional study enrolled 256 participants: 124 with SCF and 132 with normal coronary flow (NCF). All participants had undergone outpatient coronary angiography for suspected coronary artery disease. SCF assessment employed the TIMI frame count (TFC) for quantifying coronary flow rate.

RESULTS

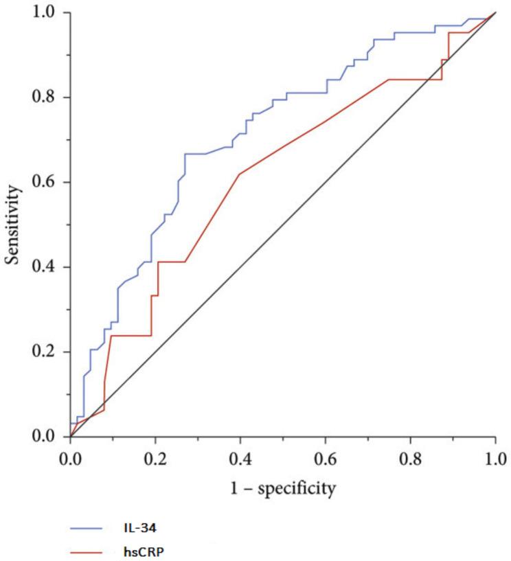
SCF patients exhibited significantly elevated TFC in all three major coronary arteries compared to controls (p < 0.05). IL-34 displayed a noteworthy positive correlation with average TFC [for all participants: r = 0.514, p < 0.001; for SCF patients: r = 0.526, p < 0.001; for normal controls: r = -0.288, p > 0.05]. Similarly, high-sensitivity C-reactive protein (hsCRP) showed a significant and positive relationship with average TFC [for all participants: r = 0.504, p < 0.001; for SCF patients: r = 0.558, p < 0.001; for normal controls: r = -0.148, p > 0.05]. SCF patients presented coronary arteries of larger size compared to controls.

CONCLUSION

Mean coronary diameter and IL-34 emerged as independent predictors of SCF. Additionally, hsCRP, mean coronary diameter, and IL-34 exhibited a positive correlation with mean TFC values. IL-34 appears to be a more effective indicator than hsCRP in SCF patients.

摘要

背景

炎症标志物可能为慢血流现象(SCF)的潜在发病机制提供一些见解,包括亚临床动脉粥样硬化和内皮功能障碍。白细胞介素-34(IL-34)在免疫炎症性疾病中具有重要作用,可能与 SCF 有关。我们旨在探讨诊断性选择性冠状动脉造影患者中 IL-34 与 SCF 之间的潜在相关性。

方法

本观察性、横断面研究纳入了 256 名参与者:124 名 SCF 患者和 132 名正常冠状动脉血流(NCF)患者。所有参与者均因疑似冠心病而行门诊冠状动脉造影。采用 TIMI 帧数(TFC)评估 SCF 评估冠状动脉血流速度。

结果

与对照组相比,SCF 患者三支主要冠状动脉的 TFC 均显著升高(p < 0.05)。IL-34 与平均 TFC 呈显著正相关[所有参与者:r = 0.514,p < 0.001;SCF 患者:r = 0.526,p < 0.001;正常对照组:r = -0.288,p > 0.05]。同样,高敏 C 反应蛋白(hsCRP)与平均 TFC 呈显著正相关[所有参与者:r = 0.504,p < 0.001;SCF 患者:r = 0.558,p < 0.001;正常对照组:r = -0.148,p > 0.05]。与对照组相比,SCF 患者的冠状动脉直径较大。

结论

平均冠状动脉直径和 IL-34 是 SCF 的独立预测因素。此外,hsCRP、平均冠状动脉直径和 IL-34 与平均 TFC 值呈正相关。IL-34 似乎是 SCF 患者比 hsCRP 更有效的指标。

https://cdn.ncbi.nlm.nih.gov/pmc/blobs/abb5/10762812/b1d3421259a0/12872_2023_3677_Fig1_HTML.jpg

相似文献

3
Assessment of risk factors and left ventricular function in patients with slow coronary flow.
Heart Vessels. 2016 Mar;31(3):288-97. doi: 10.1007/s00380-014-0606-4. Epub 2014 Dec 5.
5
Increased mean platelet volume in patients with slow coronary flow.
Platelets. 2009 Feb;20(1):23-8. doi: 10.1080/09537100802458969.
8
Association of paraoxonase activity and coronary blood flow.
Atherosclerosis. 2008 Mar;197(1):257-63. doi: 10.1016/j.atherosclerosis.2007.04.004. Epub 2007 May 30.
9
Slow coronary flow is associated with carotid artery dilatation.
Tohoku J Exp Med. 2006 May;209(1):41-8. doi: 10.1620/tjem.209.41.
10
Plasma Choline as a Diagnostic Biomarker in Slow Coronary Flow.
Cardiol Res Pract. 2020 Jan 25;2020:7361434. doi: 10.1155/2020/7361434. eCollection 2020.

引用本文的文献

本文引用的文献

1
Interleukin-34-regulated T-cell responses in rheumatoid arthritis.
Front Med (Lausanne). 2022 Nov 30;9:1078350. doi: 10.3389/fmed.2022.1078350. eCollection 2022.
2
Understanding the pathogenesis of coronary slow flow: Recent advances.
Trends Cardiovasc Med. 2024 Apr;34(3):137-144. doi: 10.1016/j.tcm.2022.12.001. Epub 2022 Dec 11.
4
Evaluation of heart rate recovery index in patients with coronary slow flow: preliminary results.
Eur Rev Med Pharmacol Sci. 2021 Dec;25(24):7941-7946. doi: 10.26355/eurrev_202112_27644.
6
Interleukin-34 Levels Were Associated with Prognosis in Patients with Acute Myocardial Infarction.
Int Heart J. 2019 Nov 30;60(6):1259-1267. doi: 10.1536/ihj.19-111. Epub 2019 Nov 15.

文献AI研究员

20分钟写一篇综述,助力文献阅读效率提升50倍。

立即体验

用中文搜PubMed

大模型驱动的PubMed中文搜索引擎

马上搜索

文档翻译

学术文献翻译模型,支持多种主流文档格式。

立即体验