Department of Animal Health, NEIKER-Basque Research and Technology Alliance (BRTA), Derio, Spain.
Doctoral Program in Molecular Biology and Biomedicine, Universidad del País Vasco/Euskal Herriko Unibertsitatea (UPV/EHU), Leioa, Bizkaia, Spain.
Sci Rep. 2024 Jan 2;14(1):173. doi: 10.1038/s41598-023-50251-9.
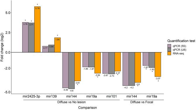
MicroRNAs (miRNAs) regulate the post-transcriptional expression of genes by binding to their target mRNAs. In this study, whole miRNA sequencing was used to compare the expression of miRNAs in ileocecal valve (ICV) and peripheral blood (PB) samples of cows with focal or diffuse paratuberculosis (PTB)-associated lesions in gut tissues versus (vs) control cows without lesions. Among the eight miRNAs differentially expressed in the PB samples from cows with diffuse lesions vs controls, three (miR-19a, miR-144, miR32) were also down-regulated in cows with diffuse vs focal lesions. In the ICV samples, we identified a total of 4, 5, and 18 miRNAs differentially expressed in cows with focal lesions vs controls, diffuse lesions vs controls, and diffuse vs focal lesions, respectively. The differential expression of five microRNAs (miR-19a, miR-144, miR-2425-3p, miR-139, miR-101) was confirmed by RT-qPCR. Next, mRNA target prediction was performed for each differentially expressed miRNA. A functional analysis using the predicted gene targets revealed a significant enrichment of the RNA polymerase and MAPK signaling pathways in the comparison of cows with focal vs no lesions and with diffuse vs focal lesions, respectively. The identified miRNAs could be used for the development of novel diagnostic and therapeutical tools for PTB control.
微小 RNA(miRNA)通过与靶 mRNAs 结合来调节基因的转录后表达。在这项研究中,通过全 miRNA 测序比较了患有局灶性或弥漫性副结核病(PTB)相关肠组织病变与无病变对照牛的回盲瓣(ICV)和外周血(PB)样本中 miRNA 的表达。在弥漫性病变牛 PB 样本中差异表达的 8 个 miRNA 中,有 3 个(miR-19a、miR-144、miR32)在弥漫性病变牛与局灶性病变牛相比也下调。在 ICV 样本中,我们分别在局灶性病变牛与对照、弥漫性病变牛与对照、弥漫性病变牛与局灶性病变牛比较中鉴定到总共 4、5 和 18 个差异表达的 miRNA。通过 RT-qPCR 验证了 5 个 microRNA(miR-19a、miR-144、miR-2425-3p、miR-139、miR-101)的差异表达。接下来,对每个差异表达的 miRNA 进行了 mRNA 靶预测。使用预测的基因靶标进行的功能分析显示,在局灶性病变与无病变和弥漫性病变与局灶性病变的比较中,RNA 聚合酶和 MAPK 信号通路显著富集。所鉴定的 miRNA 可用于开发新的 PTB 控制诊断和治疗工具。