Suppr超能文献

闭孔乙烯-醋酸乙烯酯泡沫在压缩下的力学行为

Mechanical Behavior of Closed-Cell Ethylene-Vinyl Acetate Foam under Compression.

作者信息

Chen Hongjuan, Sun Deqiang, Gao Lulu, Liu Xiaochen, Zhang Meilin

机构信息

College of Art and Design, Shaanxi University of Science & Technology, Xi'an 710021, China.

College of Bioresources Chemical and Materials Engineering, Shaanxi University of Science & Technology, Xi'an 710021, China.

出版信息

Polymers (Basel). 2023 Dec 21;16(1):34. doi: 10.3390/polym16010034.

Abstract

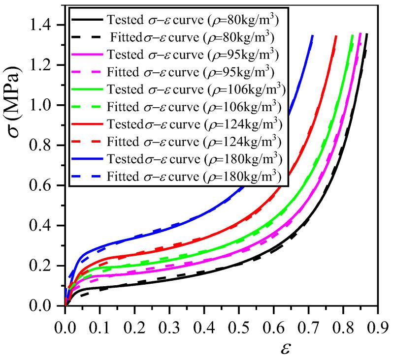
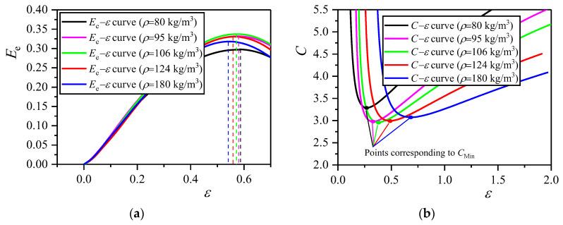
The static and dynamic compressions of closed-cell ethylene-vinyl acetate (EVA) foams with different densities were conducted under various strain rates. The stress-strain curves were processed to determine the corresponding curves of energy absorption per unit volume and energy absorption efficiency, and energy absorption diagrams were produced. The influences of density and strain rate on the elastic modulus, yield strength, energy absorption per unit volume, optimal strain, densification strain, and energy absorption diagrams were analyzed and discussed. The whole stress-strain curve can be fitted with the Rusch formula. The strain rate does not change the shape of stress-strain curve, and has little influence on the elastic modulus. There exists the optimal density of EVA foam corresponding to its maximum energy absorption efficiency. Under a fixed strain rate, the optical energy absorption per unit volume is proportional to the optical stress on the envelope line in the energy absorption diagrams of EVA foams with different densities. The change in strain rate leads to the envelope line in the energy absorption diagrams of EVA foams with a given density having the larger slope and a negative intercept where the optical energy absorption per unit volume relies linearly on the optical stress. The empirical formulas of elastic modulus, yield strength, optimal strain, and envelope lines and their slopes are derived from the tested results.

摘要

在不同应变率下对不同密度的闭孔乙烯-醋酸乙烯酯(EVA)泡沫材料进行了静态和动态压缩试验。对应力-应变曲线进行处理,以确定相应的单位体积能量吸收曲线和能量吸收效率曲线,并绘制了能量吸收图。分析和讨论了密度和应变率对弹性模量、屈服强度、单位体积能量吸收、最佳应变、致密化应变以及能量吸收图的影响。整个应力-应变曲线可用Rusch公式拟合。应变率不改变应力-应变曲线的形状,对弹性模量影响较小。EVA泡沫材料存在对应其最大能量吸收效率的最佳密度。在固定应变率下,不同密度EVA泡沫材料能量吸收图中单位体积的光能量吸收与包络线上的光应力成正比。应变率的变化导致给定密度EVA泡沫材料能量吸收图中的包络线斜率增大且有负截距,此时单位体积的光能量吸收与光应力呈线性关系。根据试验结果推导了弹性模量、屈服强度、最佳应变以及包络线及其斜率的经验公式。

https://cdn.ncbi.nlm.nih.gov/pmc/blobs/d4b8/10780418/826bbf7e3a6d/polymers-16-00034-g001.jpg

文献检索

告别复杂PubMed语法,用中文像聊天一样搜索,搜遍4000万医学文献。AI智能推荐,让科研检索更轻松。

立即免费搜索

文件翻译

保留排版,准确专业,支持PDF/Word/PPT等文件格式,支持 12+语言互译。

免费翻译文档

深度研究

AI帮你快速写综述,25分钟生成高质量综述,智能提取关键信息,辅助科研写作。

立即免费体验