Department of Food Technology, EPSO-CIAGRO, University Miguel Hernández, Ctra. Beniel, km 3.2, 03312 Orihuela, Alicante, Spain.
Department of Applied Biology, EPSO-CIAGRO, University Miguel Hernández, Ctra. Beniel, km 3.2, 03312 Orihuela, Alicante, Spain.
Int J Mol Sci. 2023 Dec 23;25(1):260. doi: 10.3390/ijms25010260.
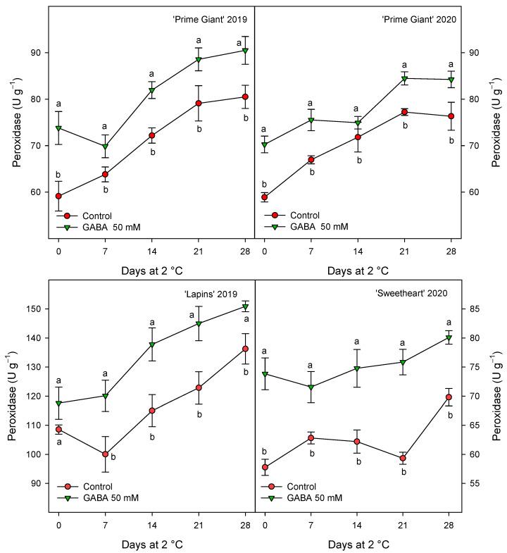
γ-Aminobutyric acid (GABA) plays important roles in plant development, including the maintenance of fruit quality when applied as postharvest treatment. However, little information is available about the effects of preharvest GABA treatments. Thus, GABA (10, 50 and 100 mM) was applied as foliar spray at key points of fruit development in three sweet cherry cultivars and over two years. The results show that quality parameters, such as total soluble solid content, titratable acidity and firmness were higher in the fruit from GABA-treated trees than in the controls, either at harvest or during four weeks of cold storage. In addition, the total phenolic and total and individual anthocyanin concentrations were also enhanced by GABA treatments and the fruit color was improved. The activities of the antioxidant enzymes catalase, ascorbate peroxidase and peroxidase were also enhanced by the GABA treatments. The most effective concentration was 50 mM, which led to extending the storage period of sweet cherries with high quality traits to up to four weeks, while for the controls this was two weeks. Thus, GABA treatment had a clear effect on delaying the postharvest ripening and senescence processes in sweet cherries, with an additional effect on enhancing the content of bioactive compounds, such as phenolics and anthocyanins, with antioxidant properties and health benefits.
γ-氨基丁酸(GABA)在植物发育中起着重要作用,包括作为采后处理应用时维持果实品质。然而,关于采前 GABA 处理的影响的信息很少。因此,在三年的时间里,GABA(10、50 和 100mM)被作为叶面喷雾应用于三个甜樱桃品种果实发育的关键点。结果表明,与对照相比,无论是在收获时还是在冷藏四周期间,来自 GABA 处理树的果实的品质参数,如总可溶性固形物含量、可滴定酸度和硬度都更高。此外,GABA 处理还增强了总酚、总和个别花青素的浓度,并且改善了果实颜色。抗氧化酶过氧化氢酶、抗坏血酸过氧化物酶和过氧化物酶的活性也被 GABA 处理增强。最有效的浓度是 50mM,这导致具有高质量特性的甜樱桃的贮藏期延长至四周,而对照则为两周。因此,GABA 处理对延缓甜樱桃的采后成熟和衰老过程有明显的效果,并且还可以增强具有抗氧化和健康益处的生物活性化合物,如酚类和花青素的含量。