Petrauskas Rokas, Grauzeliene Sigita, Ostrauskaite Jolita
Department of Polymer Chemistry and Technology, Kaunas University of Technology, Radvilenu Rd. 19, LT-50254 Kaunas, Lithuania.
Materials (Basel). 2023 Dec 20;17(1):24. doi: 10.3390/ma17010024.
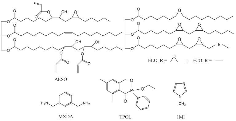
The development of thermo-responsive shape-memory polymers has attracted attention due to their ability to undergo reversible deformations based on temperature changes. Vegetable oils are confirmed to be an excellent biorenewable source of starting materials for the synthesis of polymers. Therefore, the objective of this research was to synthesize thermo-responsive shape-memory polymers based on vegetable oils by using the dual-curing technique and obtaining polymers with tailorable properties. Acrylated epoxidized soybean oil and two epoxidized vegetable oils, linseed oil and camelina oil, were chosen for dual curing with m-xylylenediamine. Rheological tests were used to analyze the curing kinetics of systems undergoing radical photopolymerization, thermal cationic polymerization, and dual-curing processes. The rheological, mechanical, and thermal characteristics of the polymers were enhanced by the second curing stage. Dual-cured vegetable oil-based polymers had shape-memory properties with a recovery ratio of 100%, making them suitable for a variety of applications, including electronics, biomedical devices, and robotics.
热响应形状记忆聚合物的发展因其能够基于温度变化进行可逆变形而备受关注。植物油被证实是用于合成聚合物的优良生物可再生起始原料来源。因此,本研究的目的是通过使用双重固化技术,基于植物油合成热响应形状记忆聚合物,并获得具有可定制性能的聚合物。选择丙烯酸化环氧大豆油以及两种环氧植物油——亚麻籽油和荠蓝油,与间苯二甲胺进行双重固化。流变学测试用于分析经历自由基光聚合、热阳离子聚合和双重固化过程的体系的固化动力学。聚合物的流变、机械和热性能通过第二固化阶段得到增强。双重固化的植物油基聚合物具有100%的回复率的形状记忆性能,使其适用于包括电子、生物医学设备和机器人技术在内的各种应用。