Suppr超能文献

聚氨酯甘油解产物作为天然橡胶混合物和硫化橡胶性能的改性剂

Polyurethane Glycerolysate as a Modifier of the Properties of Natural Rubber Mixtures and Vulcanizates.

作者信息

Włoch Marcin, Toruńczak Maksymilian, Datta Janusz

机构信息

Department of Polymers Technology, Faculty of Chemistry, Gdańsk University of Technology, G. Narutowicza Str. 11/12, 80-233 Gdańsk, Poland.

出版信息

Materials (Basel). 2023 Dec 22;17(1):62. doi: 10.3390/ma17010062.

Abstract

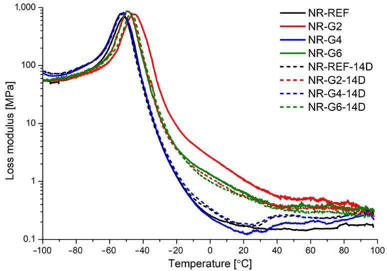
Chemical recycling of polyurethanes can be realized in several different ways, but the most important methods are glycolysis and glycerolysis. Both methods permit recovery of polyols (when the process is realized with the mass excess of depolymerizing agent) or substitutes of polyols, which contain urethane moieties in the main chains and terminate mainly in hydroxyl groups (when the process is realized with the mass excess of depolymerized polyurethane). Oligomeric products with urethane groups in the chemical structure can also be used as modifiers of rubber mixtures and vulcanizates. The main aim of the presented work is to study the effect of polyurethane glycerolysate on the performance of natural rubber mixtures and vulcanizates. The influence of the modifier on the vulcanization kinetics and swelling of rubber mixtures, and the thermo-mechanical and mechanical properties of rubber vulcanizates, was studied. The prepared materials were also subjected to accelerated thermal aging in air. It was found that polyurethane glycerolysate affects the vulcanization process of rubber mixtures (for example, promotes the activation of vulcanization) and acts as an antidegradant under thermoxidative conditions (higher stability of mechanical properties was observed in comparison to a reference sample without modifier). The obtained results show that chemical recycling products can be valuable modifiers of natural rubber mixtures and vulcanizates, which extends the possible applications of polyurethane chemical recycling products.

摘要

聚氨酯的化学回收可以通过几种不同的方式实现,但最重要的方法是醇解和甘油解。这两种方法都可以回收多元醇(当该过程在解聚剂大量过量的情况下实现时)或多元醇的替代品,这些替代品在主链中含有聚氨酯部分,并且主要以羟基结尾(当该过程在解聚的聚氨酯大量过量的情况下实现时)。化学结构中含有聚氨酯基团的低聚物产品也可用作橡胶混合物和硫化胶的改性剂。本文工作的主要目的是研究聚氨酯甘油解产物对天然橡胶混合物和硫化胶性能的影响。研究了该改性剂对橡胶混合物的硫化动力学和溶胀以及橡胶硫化胶的热机械和机械性能的影响。制备的材料还在空气中进行了加速热老化。结果发现,聚氨酯甘油解产物会影响橡胶混合物的硫化过程(例如,促进硫化活化),并在热氧化条件下起抗降解剂的作用(与没有改性剂的参比样品相比,观察到机械性能具有更高的稳定性)。所得结果表明化学回收产物可以成为天然橡胶混合物和硫化胶的有价值的改性剂,这扩展了聚氨酯化学回收产物的可能应用。

https://cdn.ncbi.nlm.nih.gov/pmc/blobs/372d/10779855/13be95e508fa/materials-17-00062-g001.jpg

文献AI研究员

20分钟写一篇综述,助力文献阅读效率提升50倍。

立即体验

用中文搜PubMed

大模型驱动的PubMed中文搜索引擎

马上搜索

文档翻译

学术文献翻译模型,支持多种主流文档格式。

立即体验