Suppr超能文献

生物炭作为沥青改性剂的效率。

The efficiency of bio-char as bitumen modifier.

作者信息

Loise Valeria, Calandra Pietro, Policicchio Alfonso, Madeo Luigi, Oliviero Rossi Cesare, Porto Michele, Abe Abraham, Agostino Raffaele G, Caputo Paolino

机构信息

University of Calabria, Department of Chemistry and Chemical Technologies, Via P. Bucci Cubo 14D, 87036, Rende, CS, Italy.

National Research Council, CNR-ISMN, Via Salaria km. 29.300, 00015, Monterotondo, Stazione, RM, Italy.

出版信息

Heliyon. 2023 Dec 6;10(1):e23192. doi: 10.1016/j.heliyon.2023.e23192. eCollection 2024 Jan 15.

Abstract

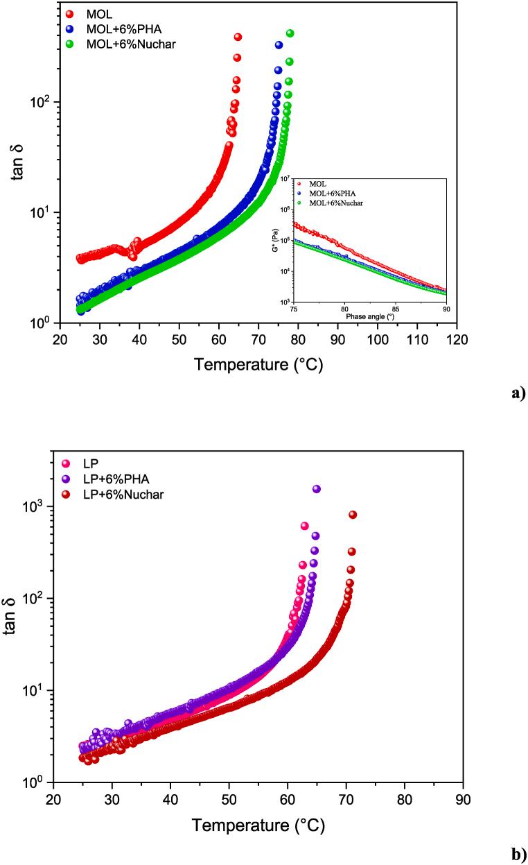
Improving the mechanical properties of bitumen is an important goal for road pavements design. For this reason, new compounds are now being sought for testing as bitumen modifiers. In this work, the authors studied the effect that two different chars have on two 50/70 bitumens with different chemical and physical characteristics. A complete morphological, surface and bulk characterization of the two additives was carried out. In addition, rheology, Nuclear Magnetic Resonance (NMR) relaxometry and atomic force microscopy were used to analyze the effect that the two additives exert on the properties of the bitumens. According to the results, the char sample with high porosity could be used as a modifier of mechanical properties, while no rejuvenation effects were observed for either of the two additives tested. In addition, the two additives do not give rise to segregation phenomena.

摘要

改善沥青的力学性能是道路路面设计的一个重要目标。因此,目前正在寻找新的化合物作为沥青改性剂进行测试。在这项工作中,作者研究了两种不同的炭对两种具有不同化学和物理特性的50/70沥青的影响。对这两种添加剂进行了完整的形态、表面和体相表征。此外,还使用流变学、核磁共振(NMR)弛豫测量法和原子力显微镜来分析这两种添加剂对沥青性能的影响。根据结果,高孔隙率的炭样品可作为力学性能的改性剂,而在所测试的两种添加剂中均未观察到恢复效果。此外,这两种添加剂不会引起离析现象。

https://cdn.ncbi.nlm.nih.gov/pmc/blobs/3d87/10777419/ca2db40b0185/gr1.jpg

文献AI研究员

20分钟写一篇综述,助力文献阅读效率提升50倍。

立即体验

用中文搜PubMed

大模型驱动的PubMed中文搜索引擎

马上搜索

文档翻译

学术文献翻译模型,支持多种主流文档格式。

立即体验