National Ophthalmic Pathology Laboratory & Research Foundation, Royal Victoria Eye and Ear Hospital.
School of Biotechnology, Dublin City University.
Am J Surg Pathol. 2024 Mar 1;48(3):329-336. doi: 10.1097/PAS.0000000000002176. Epub 2024 Jan 19.
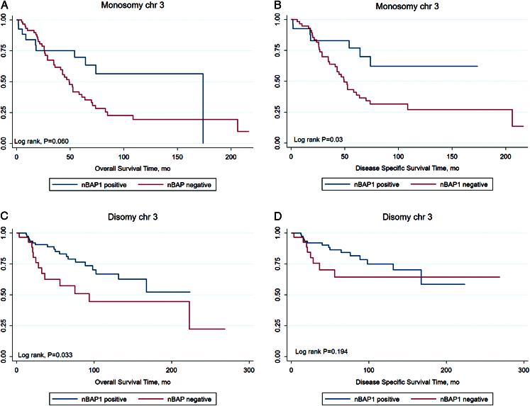
The prognostic value of the traditional pathologic parameters that form part of the American Joint Committee on Cancer staging system and genetic classifications using monosomy chromosome 3 and structural alterations in chromosome 8 are well established and are part of the diagnostic workup of uveal melanoma (UM). However, it has not been fully clarified whether nuclear protein expression of the tumor suppressor gene BAP1 (nBAP1) by immunohistochemistry alone is as powerful a predictor of overall survival (OS) and/or disease-specific survival (DSS) as chromosome analysis. The protein expression of nBAP1 was evaluated in a retrospective cohort study of 308 consecutive patients treated by primary enucleation between January 1974 and December 2022. We correlated clinical, pathologic, and cytogenetic characteristics to identify the best prognostic indicators for OS and DSS. Loss of nBAP1 was detected in 144/308 (47%) of patients. Loss of nBAP1 expression was significantly associated with poor survival. In patients with disomy chromosome 3, nBAP1 negative is significantly associated with poorer OS but not DSS. We observed that older age (>63 years), presence of metastasis, and nBAP1 negative remained independent prognostic factors in multivariate analysis. nBAP1 protein expression proved to be a more reliable prognostic indicator for OS than the American Joint Committee on Cancer staging, M3 status, or The Cancer Genome Atlas classification in this cohort. This study provides support for accurate prognostication of UM patients in routine histology laboratories by immunohistochemistry for nBAP1 alone.
传统的病理参数,如美国癌症联合委员会分期系统和染色体 3 单体和 8 号染色体结构改变的遗传分类中的参数,其预后价值已得到充分证实,并且是葡萄膜黑色素瘤(UM)诊断工作的一部分。然而,核蛋白表达肿瘤抑制基因 BAP1(nBAP1)的免疫组织化学是否与染色体分析一样,是总体生存率(OS)和/或疾病特异性生存率(DSS)的强大预测因子,尚未完全阐明。在一项回顾性队列研究中,对 308 例连续接受初次眼内容剜除术治疗的患者的 nBAP1 蛋白表达进行了评估,这些患者的治疗时间为 1974 年 1 月至 2022 年 12 月。我们将临床、病理和细胞遗传学特征相关联,以确定 OS 和 DSS 的最佳预后指标。在 308 例患者中,有 144/308(47%)例患者检测到 nBAP1 缺失。nBAP1 缺失的表达与生存不良显著相关。在染色体 3 二倍体的患者中,nBAP1 阴性与较差的 OS 显著相关,但与 DSS 无关。我们观察到,年龄较大(>63 岁)、存在转移和 nBAP1 阴性在多变量分析中仍然是独立的预后因素。在该队列中,nBAP1 蛋白表达在多变量分析中被证明是比美国癌症联合委员会分期、M3 状态或癌症基因组图谱分类更可靠的 OS 预后指标。这项研究为在常规组织学实验室中通过 nBAP1 的免疫组织化学单独为 UM 患者提供准确的预后提供了支持。