Suppr超能文献

优化循环神经网络用于肌电信号分类:一种基于灰狼优化的新策略。

Optimizing RNNs for EMG Signal Classification: A Novel Strategy Using Grey Wolf Optimization.

作者信息

Aviles Marcos, Alvarez-Alvarado José Manuel, Robles-Ocampo Jose-Billerman, Sevilla-Camacho Perla Yazmín, Rodríguez-Reséndiz Juvenal

机构信息

Facultad de Ingeniería, Universidad Autónoma de Querétaro, Santiago de Querétaro 76010, Mexico.

Programa de Postgrado en Energías Renovables, Universidad Politécnica de Chiapas, Suchiapa 29150, Mexico.

出版信息

Bioengineering (Basel). 2024 Jan 13;11(1):77. doi: 10.3390/bioengineering11010077.

Abstract

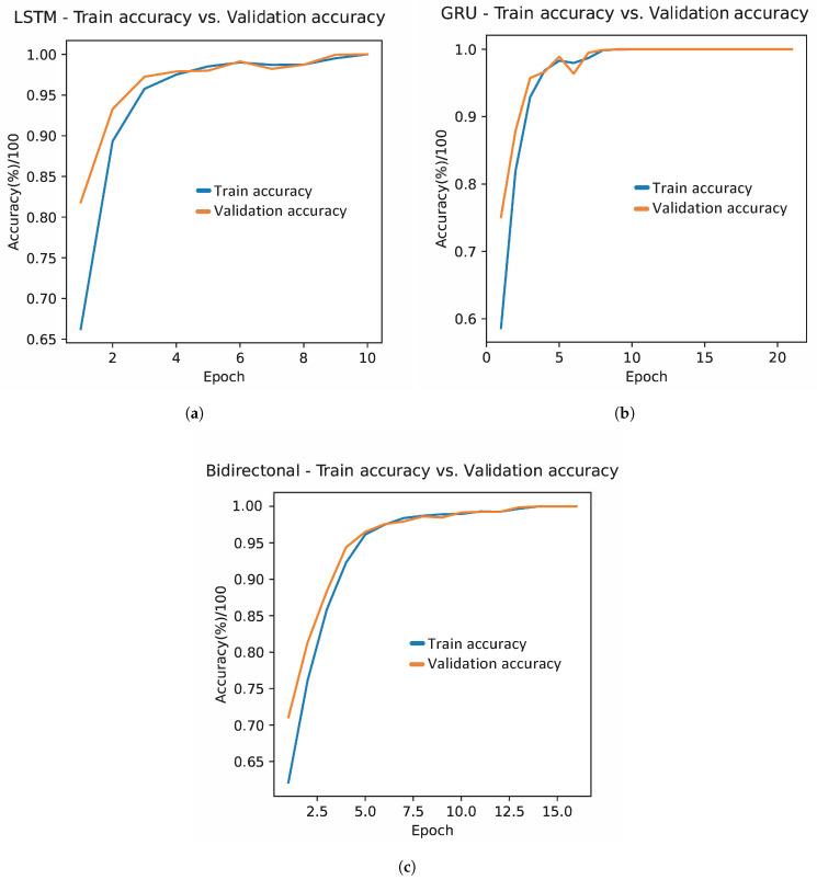
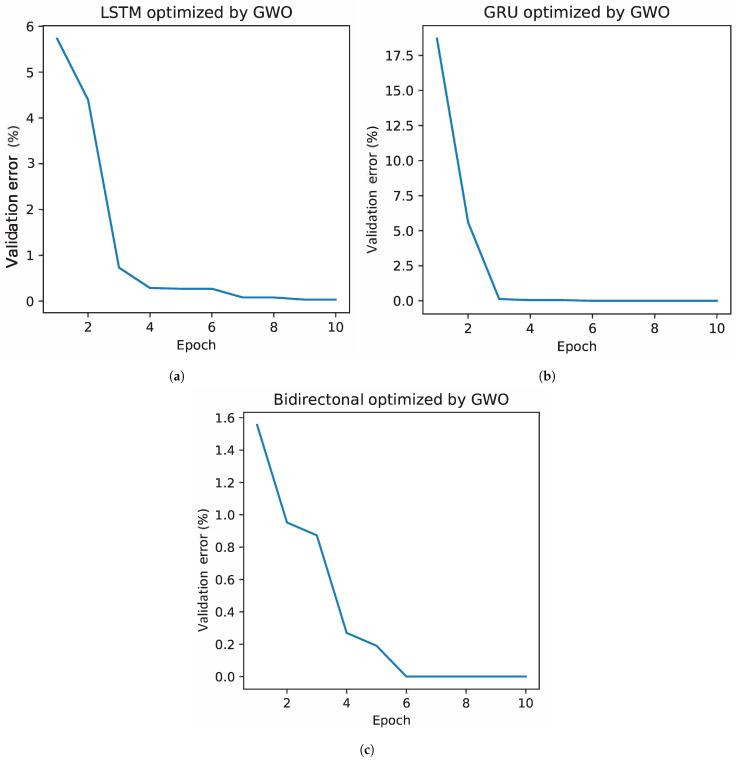
Accurate classification of electromyographic (EMG) signals is vital in biomedical applications. This study evaluates different architectures of recurrent neural networks for the classification of EMG signals associated with five movements of the right upper extremity. A Butterworth filter was implemented for signal preprocessing, followed by segmentation into 250 ms windows, with an overlap of 190 ms. The resulting dataset was divided into training, validation, and testing subsets. The Grey Wolf Optimization algorithm was applied to the gated recurrent unit (GRU), long short-term memory (LSTM) architectures, and bidirectional recurrent neural networks. In parallel, a performance comparison with support vector machines (SVMs) was performed. The results obtained in the first experimental phase revealed that all the RNN networks evaluated reached a 100% accuracy, standing above the 93% achieved by the SVM. Regarding classification speed, LSTM ranked as the fastest architecture, recording a time of 0.12 ms, followed by GRU with 0.134 ms. Bidirectional recurrent neural networks showed a response time of 0.2 ms, while SVM had the longest time at 2.7 ms. In the second experimental phase, a slight decrease in the accuracy of the RNN models was observed, standing at 98.46% for LSTM, 96.38% for GRU, and 97.63% for the bidirectional network. The findings of this study highlight the effectiveness and speed of recurrent neural networks in the EMG signal classification task.

摘要

肌电图(EMG)信号的准确分类在生物医学应用中至关重要。本研究评估了循环神经网络的不同架构,用于对与右上肢五种运动相关的EMG信号进行分类。采用巴特沃斯滤波器进行信号预处理,然后分割成250毫秒的窗口,重叠190毫秒。将所得数据集分为训练、验证和测试子集。灰狼优化算法应用于门控循环单元(GRU)、长短期记忆(LSTM)架构和双向循环神经网络。同时,与支持向量机(SVM)进行了性能比较。在第一个实验阶段获得的结果表明,所有评估的RNN网络均达到了100%的准确率,高于SVM所达到的93%。在分类速度方面,LSTM被列为最快的架构,记录时间为0.12毫秒,其次是GRU,为0.134毫秒。双向循环神经网络的响应时间为0.2毫秒,而SVM的时间最长,为2.7毫秒。在第二个实验阶段,观察到RNN模型的准确率略有下降,LSTM为98.46%,GRU为96.38%,双向网络为97.63%。本研究结果突出了循环神经网络在EMG信号分类任务中的有效性和速度。

https://cdn.ncbi.nlm.nih.gov/pmc/blobs/15bf/10813014/e7da48f70e1c/bioengineering-11-00077-g001.jpg

文献AI研究员

20分钟写一篇综述,助力文献阅读效率提升50倍。

立即体验

用中文搜PubMed

大模型驱动的PubMed中文搜索引擎

马上搜索

文档翻译

学术文献翻译模型,支持多种主流文档格式。

立即体验